基本介紹
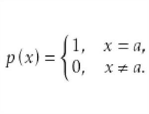
單點分布單點分布是一種 離散分布,也稱 退化分布。它僅有一個可能取值 。其機率函式為
單點分布
單點分布
單點分布
單點分布
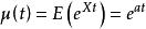
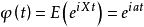
單點分布期望值 ;方差 ;矩母函式 ;特徵函式 。
其他常用離散型分布
單點分布
單點分布
單點分布
單點分布
單點分布離散型隨機變數X只能取有限或可列個數值 ,並且X取值 的機率為 。這是一般情形,下面我們將考慮 和 具有特定數值的某些情形 。
兩點分布
1.假如隨機變數X僅取兩個數值a和b,即
單點分布
單點分布
單點分布
單點分布其中,則稱隨機變數X服從 兩點分布。當時,這個特殊的兩點分布稱為 伯努利(D.Bernoulli)分布,記為。
單點分布
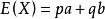
單點分布2.兩點分布的均值,方差。
單點分布3.當時,兩點分布就退化為單點分布。
均勻分布
單點分布考慮某種福利彩票,假設共發行了N張,不妨編號為,其中有—·張中大獎。如果我們等可能(或稱隨機)地從中抽取一張,所抽得號碼用X表示,則X的分布為
單點分布這個離散型分布稱為 均勻分布,離散均勻分布在有獎銷售等活動中有廣泛的套用
單點分布
單點分布此均勻分布的均值,方差.
二項分布
假定有一批產品,其中不合格品率為p,從中隨機地抽取n個產品,以X記抽出的n個產品中不合格品的個數,則隨機變數X的分布為
單點分布
單點分布
單點分布這個分布稱為 二項分布,因為它正好是按二項式展開中的一項,記為。

