流程
單效真空蒸發流程如圖所示為工業生產中所見的典型單效真空蒸發流程。圖中左面的設備是生產流程中的主體設備一蒸發器。蒸發器的種類很多、結構各異,但目前生產上使用的大部分蒸發器均由兩大部分組成,第一部分是下部的加熱室,這實際上是一個由若干加熱管組成的間壁式換熱器;構成蒸發器的另一部分是上部的蒸發室(亦稱分離室)。
待蒸發的原料液(稀溶液)送入蒸發器後直接流入加熱室的換熱管內,而加熱蒸汽則進入加熱室的管間冷凝,所放出的潛熱通過管壁傳給在管內流動的料液,使溶液受熱沸騰汽化,濃縮了的料液從蒸發器的底部排出,進入濃液貯槽即為產品(常稱完成液) 。加熱蒸汽放熱後自身冷凝為冷凝水,由加熱室下部排出。
計算
單效蒸發器物料衡算示意圖對於單效蒸發,在給定的生產任務和確定了操作條件以後,通常需要計算以下內容:水分的蒸發量、加熱蒸汽消耗量、蒸發器的傳熱面積。可套用物料衡算方程、熱量衡算方程和傳熱速率方程來解決。
(一)蒸發水量的計算
對圖中所示蒸發器進行溶質的物料衡算,可得
單效蒸發由此可得水的蒸發量
單效蒸發完成液的濃度
單效蒸發式中,F——原料液量,kg/h;
W——蒸發水量,kg/h;
L——完成液量,kg/h;
xo一一原料液中溶質的濃度,質量分數;
x1——完成液中溶質的濃度,質量分數,
(二)加熱蒸汽消耗量的計算
加熱蒸汽用量可通過熱量衡算求得,即對圖中作熱量衡算可得
單效蒸發或
單效蒸發式中,H——加熱蒸汽的焓,kJ/kg;
H’——二次蒸汽的焓,kJ/kg;
ho——原料液的焓,kJ/kg;
h1——完成液的焓,kJ/kg;
he——加熱室排出冷凝液的焓,kJ/h;
Q——蒸發器的熱負荷或傳熱速率,kJ/h;
QL——熱損失,可取Q的某一百分數,kJ/kg;
Co、C1——原料、完成液的比熱,kJ/(kg ·℃)
(三)傳熱面積的計算
蒸發器的傳熱面積可通過傳熱速率方程求得,即
單效蒸發或
單效蒸發式中,A——蒸發器的傳熱面積,m ;
K——蒸發器的總傳熱係數,W/(m · K);
△tm——傳熱平均溫度差,℃;
Q——蒸發器的熱負荷,W或kJ/kg。
式中,Q可通過對加熱室作熱量衡算求得,若忽略熱損失,Q即為加熱蒸汽冷凝放出的熱量,即
單效蒸發(四)傳熱平均溫度差△tm的確定
在蒸發操作中,蒸發器加熱室一側是蒸汽冷凝,另一側為液體沸騰,因此其傳熱平均溫度差應為
單效蒸發式中,T——加熱蒸汽的溫度,℃;
t1——操作條件下溶液的沸點,℃。
溶液的沸點不儀受蒸發器內液面壓力影響,而且受溶液濃度、液位深度等因素影響。
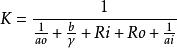
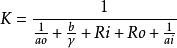
(五)總傳熱係數K的確定
蒸發器的總傳熱係數可按下式計算
單效蒸發式中,ai——管內溶液沸騰的對流傳熱係數,W/(m ·℃);
ao——管外蒸汽冷凝的對流傳熱係數,W/(m ·℃);
Ri——管內污垢熱阻,m ℃/W;
Ro——管外污垢熱阻,m ℃/W;
b/ γ——管壁熱阻,m ℃/W。
生產強度
蒸發器生產強度的定義
蒸發器的生產能力儀反映蒸發器生產量的大小,蒸發器的生產強度簡稱蒸發強度,是指單位時問單位傳熱面積上所蒸發的水量。即
單效蒸發式中,u——蒸發強度,kg/(m h);
W——蒸發的水量,kg;
S——傳熱面積,m 。
蒸發強度通常可用於評價蒸發器的優劣,當蒸發W任務一定時,生產強度越大,所需要的傳熱面積越少,即設備的投資就越低。因此,它反映了蒸發操作的設備性能,也是蒸發操作的重要經濟指標之一。
對多數物系,當沸點進料,若不計熱損失和濃縮熱,可得
單效蒸發由上式可知,提高蒸發強度的主要途徑是提高總傳熱係數K和傳熱溫度差△tm。
提高蒸發強度的途徑
1.提高傳熱溫度差
提高傳熱溫度差可從提高熱源的溫度或降低溶液的沸點等角度考慮,可以採用下列措施實現。
(1)真空蒸發
(2)高溫熱源
提高△tm的另一個措施是提高加熱蒸汽的壓強,但這時要對蒸發器的設計和操作提出嚴格要求。一般加熱蒸汽壓強不超過0.6~0.8MPa。對於某些物料如果加壓蒸汽仍不能滿足要求時,則可選用高溫導熱油、熔鹽或改用電加熱,以增大傳熱推動力。
2.提高總傳熱係數
蒸發器的總傳熱係數主要取決於溶液的性質、沸騰狀況、操作條件以及蒸發器的結構等。合理設計蒸發器以實現良好的溶液循環流動,及時排除加熱室中不凝性氣體,定期清洗蒸發器特別是加熱室內管,均是提高和保持蒸發器在高強度下操作的重要措施。
與多效蒸發比較
評價蒸發過程的兩個主要技術經濟指標:能耗與蒸發器的生產強度。能耗主要是指加熱蒸汽的消耗量,它是關係到操作費用高低的主要指標之一。生產強度則決定了設備投資的大小,生產強度大,蒸發一定量溶液所需的傳熱面積少,整個蒸發裝置小,設備投資少,對於多效蒸發裝置來說,需考慮操作費與設備費總和為最小的原則來權衡最佳的效數。
(一)溶液的溫度差損失
單效、多效蒸發的有效溫差及溫度差損失
單效和多效蒸發過程中均存在溫度差損失。若單效和多效蒸發的操作條件相同,即二者加熱蒸汽壓力相同,則多效蒸發的溫度差損失較單效時的大。右圖為單效、多效蒸發的有效溫差及溫度差損失的變化情況。
圖中總高代表加熱蒸汽溫度與冷凝器中蒸汽溫度之差,即130℃一50℃=80℃。空白部分代表由於各種原因引起的溫度損失,陰影部分代表有效溫度差(即傳熱推動力)。由圖中可見,多效蒸發中的溫度差損失較單效大。不難理解,效數越多,溫度差損失將越大。
(二)蒸發器的生產能力和生產強度
當蒸發過程中若沒有溫度差損失時,則三效蒸發和單效蒸發的熱流量基本上是相同的,因此兩者的生產能力也大致相同。但是,兩者的生產強度截然不同,三效蒸發時的生產強度儀為單效蒸發時的1/3左右。在實際生產中,由於多效蒸發時的溫度差損失大於單效蒸發時的,故多效蒸發時的生產能力和生產強度均低於單效蒸發時的。效數越多,溫度差損失越大,蒸發裝置的生產能力愈小。同時,隨著效數增加,蒸發器的生產強度降低很快,致使設備投資迅速增加。
(三)多效蒸發效數的限制
下表列出了不同效數蒸發的單位蒸汽消耗量。隨著效數的增加,單位蒸汽的消耗量會減少.即操作費用降低,但是有效溫度差也會減少(即溫度差損失增大),使設備投資費用增人。因此必須合理選取蒸發效數,使操作費和設備費之和為最少。
| 單效 | 雙效 | 三效 | 四效 | 五效 | |
| (D/Wmin)理論值 | 1 | 0.5 | 0.33 | 0.25 | 0.2 |
| (D/Wmin)實測值 | 1.1 | 0.57 | 0.4 | 0.3 | 0.27 |
可見,多效蒸發D/W說明蒸發同樣數量的水分形,採用多效蒸發時為小,可節省生蒸汽用量,提高生蒸汽的利用率,但是加熱蒸汽利用率的提高是以降低蒸發強度為代價的,效數增加,蒸發強度降低,以及溫差增加,使得效數不能隨意增加.一般常見2~3效。同時,效數增加,設備費用都成倍增大,因此,必須對設備費和操作費進行權衡以決定合理的效數。這是最最佳化設計的內容之一。
