簡介
哈斯圖得名於Helmut Hasse(1898年–1979年);依據Birkhoff (1948),這么叫是因為Hasse有效的利用了它們。但是Hasse不是第一個使用它們的人,它們早就出現在如Vogt (1895)中。儘管哈斯圖被設計為手工繪製偏序集合的技術,最近已經使用圖繪製技術自動來生成它們了。
術語“哈斯圖”還可以稱呼作為抽象有向無環圖的傳遞簡約,獨立於這個圖的任何繪製形式。但是這裡不採用這種用法。
圖中的每個結點表示集合A中的一個元素,結點的位置按它們在偏序中的次序從底向上排列。即對任意a,b屬於A,若a≤b且a≠b,則a排在b的下邊。如果a≤b且a≠b,且不存在c∈A滿足a≤c且c≤b,則在a和b之間連一條線。這樣畫出的圖叫哈斯圖,又稱偏序集合圖。
作圖法
(1)以“圓圈”表示元素;
(2)若x≤y,則y畫在x的上層;
(3)若y覆蓋x,則連線;
(4)不可比的元素可畫在同一層。
例題:畫出下列各關係的哈斯圖
1)P={1,2,3,4},<P,≤>的哈斯圖。
2)A={2,3,6,12,24,36},<A,整除>的哈斯圖。
3)A={1,2,3,5,6,10,15,30},<A,整除>的哈斯圖。
解如圖:哈斯圖L-1
哈斯圖L-1例子
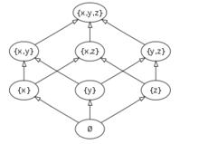
{ x, y, z }的冪集按包含偏序排序,有哈斯圖:
哈斯圖所有60的除數的集合A = { 1, 2, 3, 4, 5, 6, 10, 12, 15, 20, 30, 60 },按整除性排序,有哈斯圖:
哈斯圖集合{ 1, 2, 3, 4 }的所有15個劃分,按精細度(就是更細劃分小於更粗劃分)排序,有哈斯圖:
哈斯圖好的哈斯圖
儘管哈斯圖是簡單的處理有限偏序集的直觀工具,繪製出好的哈斯圖是非常困難的。原因是對於給定偏序集有任意多種可能的繪圖方式。簡單的技術就是開始於這個次序的最小元並逐步增加上更大的元素,這經常產生非常窘迫的結果:很容易丟失了這個次序的對稱性和內部結構。
哈斯圖
哈斯圖下面的例子展示這個問題。考慮集合S = {a, b, c, d}的冪集,就是說S的所有自己的集合,按照子集包含來排序。下面是這個偏序的三個不同哈斯圖:
哈斯圖通過使得在這個冪集中每個集合的y坐標成比例於集合的勢,最左圖示展示了這個冪集是等級偏序集。中間圖示有相同的等級結構,但使得某些邊比其他邊長,它把這個冪集的結構強調為兩個三維立方體的聯合:在兩個立方體中下面的那箇中的頂點表示不包含S的某個特定元素比如d的集合,而上面立方體的頂點表示包含d的集合。最右圖示展示了這個結構的某種內部對稱性。

