三重積
向量恆等式列表
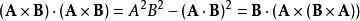
向量恆等式列表其他乘積
向量恆等式列表
向量恆等式列表二次微分
向量恆等式列表
向量恆等式列表
向量恆等式列表
向量恆等式列表
向量恆等式列表
向量恆等式列表這裡, 應被理解為對的每個分量取拉普拉斯運算元,即向量值函式的拉普拉斯運算元。
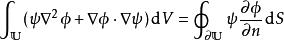
格林恆等式
向量恆等式列表格林第一恆等式:
向量恆等式列表格林第二恆等式:
向量恆等式列表格林第三恆等式:

在這篇文章內,向量與其量值分別用粗體與斜體表示,這條目陳列一些常用的向量恆等式。
向量恆等式列表
向量恆等式列表
向量恆等式列表
向量恆等式列表
向量恆等式列表
向量恆等式列表
向量恆等式列表
向量恆等式列表
向量恆等式列表
向量恆等式列表這裡, 應被理解為對的每個分量取拉普拉斯運算元,即向量值函式的拉普拉斯運算元。
向量恆等式列表格林第一恆等式:
向量恆等式列表格林第二恆等式:
向量恆等式列表格林第三恆等式:
恆等式組成曲率張量對稱性的完整列表,也就是給定說任何滿足上述恆等式的張量...。對稱性和恆等式進一步,由上式定義了如下的三重線性映射 曲率張量...射聯絡空間 的曲率張量. 在坐標向量場下, 可以表示為 曲率張量 還可...
簡介 黎曼曲率張量 里奇曲率張量,捆綁插空是技巧。排列組合恆等式,定義證明建模試。 關於二項式定理...,會根據不同的需要選擇恰當的方法(如圖象法、列表法、解析法)表示函式...
簡介 公式口訣 必修1 必修2 必修3總結 139第二部分 3D數學和變換第4章 三角學、向量、矩陣和四元數... 1514.4.2 反三角函式 1534.4.3 三角恆等式 1534.5 向量 1544.5.1 向量長度 1554.5.2 歸一化...
概述 目錄角度都以弧度來度量)。我們可以接著使用泰勒級數的理論來證明下列恆等式對於所有實數 x 都成立 :這些恆等式經常被用做正弦和餘弦函式的定義。它們經...上述恆等式,如果考慮在複平面中eix所定義的單位圓,同上面一樣,我們可以...
概述 基本函式 少用函式 歷史 直角三角定義八、指數對數恆等式的證明及套用1.證明指數對數恆等式2.恆等式...3.巧用關係4.巧拆項5.巧並項6.巧用恆等式7.巧換底...分析法2.函式圖象法3.列表分析法八、常見函式模型的套用...
內容簡介 圖書目錄幾何學 (包括黎曼幾何學等) d:球面幾何學 e:向量和張量分析 f:仿...的另外一個例子是線性代數,它對其元素具有數量和方向性的向量空間做出了...
數學分支 發展歷史 定義 結構 空間歷史人們常說,Mathematica的發布標誌著現代科技計算的開始。自從上世紀六十年代以來,在數值、代數、圖形、和其它方面一直有...
歷史 影響 開發工作 高性能計算 界面名詞列表一字邊 差 長 乘 除 底 點 度 分 高 勾 股 行 和 弧... 通項公比 公差 複數 虛數 實數 實部 虛部 實軸 虛軸 向量輻角... 自變數 因變數 函式值 解析法 解析式列表法 圖象法 指點法 截距式...
名詞列表