基本介紹
由函式f(x)在點x左極限與右極限的定義,立即得到函式f(x)在點x左連續與右連續的定義。
右連續如果 ,則稱函式y=f(x)在點x 左連續;
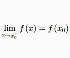
右連續如果 ,則稱函式y=f(x)在點x 右連續。
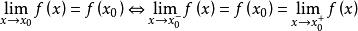
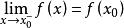
由極限的充分必要條件易得:函式f(x)在 點x連續的充分必要條件是:函式f(x)在點x既左連續,又右連續,即
右連續函式在一點連續的定義,很自然地可以推廣到一個區間上。
如果f(x)在區間I上的每一點處都連續,就稱f(x)在I上連續,並稱f(x)為I上的連續函式;若I包含端點,那么f(x)在左端點連續是指右連續,在右端點連續是指左連續。
由極限的運算法則可知,常值函式f(x)=C(C為常數)在實數軸上任意一點x都是連續的,多項式函式f(x)在(-∞,+∞)上是連續的,即
右連續
右連續有理分式函式 在分母Q(x)≠0的點是連續的,即有理分式函式在定義域內是連續的 。
例題解析
右連續
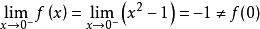
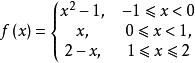
右連續【例1】討論函式在點處的連續性。
解 在x=0處,f(x)有定義,且f(0)=0,
右連續因為,所以f(x)在x=0處左不連續;
右連續因為,所以f(x)在x=0處右連續。
因此,根據上述函式y=f(x)在點x處連續的充要條件知,函式f(x)在x=0處不連續。
在x=1處,f(x)有定義,且f(1)=1,
右連續因為,所以f(x)在x=1處左連續;
右連續因為,所以f(x)在x=1處右連續。
因此,根據上述函式y=f(x)在點x處連續的充要條件知,函式f(x)在x=1處連續 。
右連續【例2】證明 在x=0點連續。
右連續證明 又f(0) =0,
右連續故f(x)=|x|在x=0點連續 。

