概念
可逆熱機是可以進行可逆循環的熱機,是一種理想模式,在外界沒有耗散的情況下熱能轉化成機械能的最大效率,根據熱力學原理,溫度是影響該效率的直接因素。
可逆熱機
可逆熱機
可逆熱機熱力學第二定律的數學表達式為: ,當時,即為熵增原理。該定律可表述為:孤立系統中的過程或封閉系統經歷絕熱過程熵不減小。當此過程可逆時熵不變。因此,從本質上來說,可逆熱機即為遵循無熵增的理想過程,現實生活中並不存在。
卡諾定理
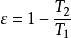
可逆熱機在溫度為T1的高溫熱源和溫度為T2的低溫熱源之間工作的一切可逆熱機,效率都相等,而與工作物質無關,其效率為:
可逆熱機
