簡介
卡諾循環卡諾循環包括四個步驟:等溫膨脹,在這個過程中系統從環境中吸收熱量;絕熱膨脹,在這個過程中系統對環境作功;等溫壓縮,在這個過程中系統向環境中放出熱量;絕熱壓縮,系統恢復原來狀態,在這個過程中系統對環境作負功。卡諾循環可以想像為是工作與兩個恆溫熱源之間的準靜態過程,其高溫熱源的溫度為T1,低溫熱源的溫度為T2。這一概念是1824年N.L.S.卡諾在對熱機的最大可能效率問題作理論研究時提出的。卡諾假設工作物質只與兩個恆溫熱源交換熱量,沒有散熱、漏氣、摩擦等損耗。為使過程是準靜態過程,工作物質從高溫熱源吸熱應是無溫度差的等溫膨脹過程,同樣,向低溫熱源放熱應是等溫壓縮過程。因限制只與兩熱源交換熱量,脫離熱源後只能是絕熱過程。作卡諾循環的熱機叫做卡諾熱機。廣義的卡諾循環包括兩個等溫變化和兩個任意的可逆循環,他們之間的熱效率是一致的。
原理
卡諾循環通過熱力學相關定理我們可以得出,卡諾循環的效率ηc=1-T2/T1,由此可以看出,卡諾循環的效率只與兩個熱源的熱力學溫度有關,如果高溫熱源的溫度T1愈高,低溫熱源的溫度T2愈低,則卡諾循環的效率愈高。因為不能獲得T1→∞的高溫熱源或T3=0K(-273℃)的低溫熱源,所以,卡諾循環的效率必定小於1。
任何工作物質作卡諾循環,其效率都一致
可以證明,以任何工作物質作卡諾循環,其效率都一致;還可以證明,所有實際循環的效率都低於同樣條件下卡諾循環的效率,也就是說,如果高溫熱源和低溫熱源的溫度確定之後卡諾循環的效率是在它們之間工作的一切熱機的最高效率界限。因此,提高熱機的效率,應努力提高高溫熱源的溫度和降低低溫熱源的溫度,低溫熱源通常是周圍環境,降低環境的溫度難度大、成本高,是不足取的辦法。現代熱電廠儘量提高水蒸氣的溫度,使用過熱蒸汽推動汽輪機,正是基於這個道理。
提高熱機效率的方向
卡諾定理闡明了熱機效率的限制,指出了提高熱機效率的方向(提高T1,降低T3,減少散熱、漏氣、摩擦等不可逆損耗,使循環儘量接近卡諾循環)。成為熱機研究的理論依據、熱機效率的限制。實際熱力學過程的不可逆性及其間聯繫的研究,導致熱力學第二定律的建立。在卡諾定理基礎上建立的卡諾循環
與測溫物質及測溫屬性無關的絕對熱力學溫標,使溫度測量建立在客觀的基礎之上。此外,套用卡諾循環和卡諾定理,還可以研究表面張力、飽和蒸氣壓與溫度的關係及可逆電池的電動勢等。還應強調,卡諾這種撇開具體裝置和具體工作物質的抽象而普遍的理論研究,已經貫穿在整個熱力學的研究之中
正文
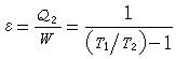
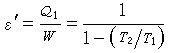
由兩個定溫過程和兩個絕熱過程(見熱力過程)所組成的可逆的熱力循環。卡諾循環是19世紀法國工程師S.卡諾提出的,因而得名。卡諾循環分正、逆兩種。在壓-容(p-V)圖和溫-熵(T-S)圖中(見圖), ɑ-b-c-d-ɑ為正卡諾循環,ɑ-b為可逆定溫吸熱過程,工質在溫度T1下從相同溫度的高溫熱源吸入熱量Q1;b-c為可逆絕熱過程,工質溫度自T1降為T2;c-d為可逆定溫放熱過程,工質在溫度T2下向相同溫度的低溫熱源排放熱量Q2;d-ɑ為可逆絕熱過程,工質溫度自T2升高到T1,完成一個可逆循環,對外作出淨功W。逆卡諾循環與上述正向循環反向,沿ɑ-d-c-b-ɑ方向,因而Q2是工質從低溫熱源吸入的熱量(通稱製冷量),Q1是工質排放給高溫熱源的熱量,W是完成逆向循環所需的外界輸入的淨功。 正卡諾循環的熱經濟指標用卡諾循環熱效率ηt表示



根據熱力學第二定律,在相同的高、低溫熱源溫度T1與T2之間工作的一切循環中,以卡諾循環的熱效率為最高,稱為卡諾定理。卡諾循環具有極為重要的理論和實際意義。雖然,完全按照卡諾循環工作的裝置是難以實現的,但是卡諾循環卻為提高各種循環熱效率指明了方向和給出了極限值。
創建背景
卡諾循環19世紀初,蒸汽機在工業、交通運輸中的作用越來越重要,但關於控制蒸汽機把熱轉變為機械運動的各種因素的理論卻未形成。法國軍事工程師薩迪•卡諾(S.Carnot,1796—1832)於1824年出版了《關於火的動力的思考》一書,總結了他早期的研究成果。卡諾以找出熱機不完善性的原因作為研究的出發點,闡明從熱機中獲得動力的條件就能夠改進熱機的效率。卡諾分析了蒸汽機的基本結構和工作過程,撇開一切次要因素,由理想循環入手,以普遍理論的形式,作出關於消耗熱而得到機械功的結論。他指出,熱機必須在高溫熱源和低溫熱源之間工作,“凡是有溫度差的地方就能夠產生動力;反之,凡能夠消耗這個力的地方就能夠形成溫度差,就可能破壞熱質的平衡。”他構造了在加熱器與冷凝器之間的一個理想循環:汽缸與加熱器相連,汽缸內的工作物質水和飽和蒸汽就與加熱器的溫度相同,汽缸內的蒸汽如此緩慢地膨脹著,以致在整個過程中,蒸汽和水都處於熱平衡。然後使汽缸與加熱器隔絕,蒸汽絕熱膨脹到溫度降至與冷凝器的溫度相同為止。然後活塞緩慢壓縮蒸汽,經過一段時間後汽缸與冷凝器脫離,作絕熱壓縮直到回復原來的狀態。這是由兩個等溫過程和兩個絕熱過程組成的循環,即後來所稱的“卡諾循環”。
卡諾根據熱質守恆思想和永動機不可能製成的原理,進一步證明了在相同溫度的高溫熱源和相同溫度的低溫熱源之間工作的一切實際熱機,其效率都不會大於在同樣的熱源之間工作的可逆卡諾熱機的效率。卡諾由此推斷:理想的可逆卡諾熱機的效率有一個極大值,這個極大值僅由加熱器和冷凝器的溫度決定,一切實際熱機的效率都低於這個極值。
意義
卡諾的研究具有多方面的意義。他的工作為提高熱機效率指明了方向;他的結論已經包含了熱力學第二定律的基本思想,只是熱質觀念的阻礙,他未能完全探究到問題的最終答案。由於卡諾英年早逝,他的工作很快被人遺忘。後來,由於法國工程師克拉珀瓏(B.P.E.Clapeyron,1799—1864)在1834年的重新研究和發展,卡諾的理論才為人們所注意。克拉珀瓏將卡諾循環在一種“壓(力)-容(積)圖”上表示出來,並證明卡諾熱機在一次循環中所做的功,其數值恰好等於循環曲線所圍的面積。克拉珀瓏的工作為卡諾理論的進一步發展創造了條件。
