《氣體的等溫變化玻意耳定律》
【教學目標】
1.在物理知識方面要求:
(l)知道什麼是等溫變化;
(2)知道玻意耳定律是實驗定律;掌握玻意耳定律的內容和公式;知道定律的適用條件。
(3)理解氣體等溫變化的p-V圖像的物理意義;
(4)知道用分子動理論對玻意耳定律的定性解釋;
(5)會用玻意耳定律計算有關的問題。
2.通過對演示實驗的研究,培養學生的觀察、分析能力和從實驗得出物理規律的能力。
3.滲透物理學研究方法的教育:當需要研究兩個以上物理量間的關係時,先保持某個或某幾個物理量不變,從最簡單的情況開始研究,得出某些規律,然後再進一步研究所涉及的各個物理量間的關係。
【重點、難點分析】
1.重點是通過實驗使學生知道並掌握一定質量的氣體在等溫變化時壓強與體積的關係,理解p-V圖像的物理意義,知道玻意耳定律的適用條件。
2.學生往往由於“狀態”和“過程”分不清,造成抓不住頭緒,不同過程間混淆不清的毛病,這是難點。在目前這個階段,有相當多學生尚不能正確確定密閉氣體的壓強。
【教具】
1.定性演示一定質量的氣體在溫度保持不變時壓強與體積的關係
橡皮膜(或氣球皮)、直徑為5cm左右兩端開口的透明塑膠簡(長約25cm左右)、與簡徑匹配的自製活塞、20cm×6cm薄木板一塊,組裝如圖。 
2.較精確地演示一定質量的氣體在溫度保持不變時壓強與體積的關係
實驗儀器如下圖示。
或使用玻意耳定律演示器。
【主要教學過程】
(一)引入新課
對照牛頓第二定律的研究過程先m一定,α∝F;再F一定,;最後,選擇合適的單位,得到。
現在我們利用這種控制條件的研究方法,研究氣體狀態參量之間的關係。
(二)教學過程設計
1.一定質量的氣體保持溫度不變,壓強與體積的關係
等溫變化實驗前,請同學們思考以下問題:
①怎樣保證氣體的質量是一定的?
②怎樣保證氣體的溫度是一定的?
(密封好;緩慢移活塞,筒不與手接觸。)
2.較精確的研究一定質量的氣體溫度保持不變,壓強與體積的關係
(1)介紹實驗裝置
觀察實驗裝置,並回答:
①研究哪部分氣體?
②A管中氣體體積怎樣表示?(l•S)
③閥門a打開時,A管中氣體壓強多大?閥門a閉合時A管中氣體壓強多大?()
④欲使A管中氣體體積減小,壓強增大,B管應怎樣操作?寫出醫務室中氣體壓強的表達式。
⑤欲使A管中氣體體積增大,壓強減小,B管應怎樣操作?寫作A管中氣體壓強的表達式。
⑥實驗過程中的恆溫是什麼溫度?為保證A管中氣體的溫度恆定,在操作B管時應注意什麼?(緩慢)
等溫變化(2)實驗數據採集
壓強單位:mmHg;體積表示:倍率法
環境溫度:室溫
大氣壓強:mmHg
①A管中氣體體積減小時(基準體積為V)
等溫變化順序12345
體積V
……
壓強
②A管中氣體體積增大時(基準體積為V′)
等溫變化順序12345
體積V′2V′3V′……
壓強
(3)實驗結論
實驗數據表明:
一定質量的氣體,在溫度不變的條件下,體積縮小到原來的幾分之一,它的壓強就增大到原來的幾倍;
一定質量的氣體,在溫度不變的條件下,體積增大到原來的幾倍,它的壓強就減小為原來的幾分之一。
改用其他氣體做這個實驗,結果相同。
3.玻意耳定律
(l)定律內容表述之一
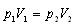
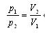
一定質量的氣體,在溫度不變的情況下,它的壓強跟體積成反比。
數學表達式
等溫變化設初態體積為,壓強為;末態體積為,壓強為。有
或
等溫變化(2)定律內容表述之二
一定質量的氣體,在溫度不變的情況下,它的壓強跟體積的乘積是不變的。
數學表達式pV=恆量
(3)用圖像表述玻意耳定律
縱軸代表氣體的壓強;
橫軸代表氣體的體積;
選取恰當的分度和單位。
請學生討論一下圖線該是什麼形狀,並嘗試把它畫出來。(等溫線)
等溫變化(4)關於玻意耳定律的討論
①圖像平面上的一個點代表什麼?曲線AB代表什麼?線段AB代表什麼?
②pV=恆量一式中的恆量是普適恆量嗎?
引導學生作出一定質量的氣體,在不同溫度下的幾條等溫線,比較後由學生得出結論:恆量隨溫度升高而增大。
③下面的數據說明什麼?
一定質量的氦氣
壓強1atm500atm1000atm
實測體積
計算體積
等溫變化玻意耳定律的適用條件:壓強不太大(和大氣壓比較)、溫度不太低(和室溫比較)的任何氣體。
④你能推導出用密度形式表達的玻意耳定律嗎?
⑤你能用分子動理論對玻意耳定律作出解釋嗎?
4.玻意耳定律套用示範
例題某個容器的容積是10L,所裝氣體的壓強是。如果溫度保持不變,把容器的開關打開以後,容器里剩下的氣體是原來的百分之幾?設大氣壓是。
等溫變化解設容器原裝氣體為研究對象。
等溫變化即剩下的氣體為原來的5%。
題後話:就容器而言,裡面氣體質量變了,似乎是變質量問題了,但若視容器中氣體出而不走,就又是質量不變了。
(三)課堂小結
1.一定質量的氣體,在溫度不變的情況下,它的壓強跟體積成反比。
2.玻意耳定律可以用p-V圖線表示。
3.玻意耳定律是實驗定律,不論什麼氣體,只要符合壓強不太大(和大氣壓比較)、溫度不太低(和室溫比較)的條件,都近似地符合這個定律。
【說明】
1.演示實驗也可採用其他方法,只要滿足氣體質量一定、溫度不變即可。
2.學生是第一次接觸狀態分析的問題,必須要求學生規範寫出初態、末態的狀態參量,圖示狀態變化,以養成良好的習慣。
3.教學過程設計的第1個內容,是為了幫助學生獲得創造等溫條件的方法,可酌情處理。
