概念
可逆熱機是可以進行可逆循環的熱機,它既可以從高溫熱源T吸熱在低溫熱源放熱完成一個循環,也可以逆著這個循環從低溫熱源T吸熱在高溫熱源放熱。而實際熱機中除了熱阻損失外,還存在熱漏、摩擦、渦流、慣性效應以及非平衡等影響,為不可逆循環。
研究進展
Novikov 和Curzon 先後將傳熱過程引入了不可逆卡諾熱機的熱力學研究,導出了不可逆卡諾熱機最大功率輸出時的效率,開創了有限時間熱力學理論。在 Rubin 定名的內可逆理論模型的基礎上,Gutowicz krusinD 研究了傳熱過程遵從一般傳熱規律不可逆卡諾熱機性能界限,陳麗璇 導出了一般傳熱規律不可逆卡諾熱機的基本最佳化關係。
不可逆卡諾熱機循環理論
在早期的熱力學最佳化分析中,大量文獻主要研究僅存在傳熱不可逆性(熱阻損失)的內可逆卡諾熱機循環性能。此時熱機的功率、效率關係為拋物線型(見圖1中曲線1)。即最大功率為可選的一個工作點,而最大效率點由於功率為零,為不可選的工作點。實際熱機中除了熱阻損失外,還存在熱漏、摩擦、渦流、慣性效應以及非平衡等影響,為不可逆循環。一些學者用一常係數表征熱機中除熱阻外的所有不可逆性建立了不可逆機模型,由此模型得到的熱機功率效率特性仍為拋物線型(見圖1中曲線2)。
不可逆熱機研究表明,熱漏是不同於摩擦、渦流、非平衡等不可逆性的特殊損失,它不僅影響熱機的最優構形,而且使熱機的功率效率特性與內可逆特性相比發生質的變化。存在熱阻和熱漏的熱機效率功率特性為回原點的扭葉型(見圖1中曲線3)。此時熱機的最大效率對應於非零功率是一個可選的工作點。
不可逆熱機的最大輸出功率與效率
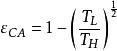
不可逆熱機按照經典熱力學,工作在T和T二熱源間的一切熱機所能達到的效率界限為卡諾效率:
實際熱機要達到這個理論上的界限,循環周期要遠大於氣體的馳豫時間,因而輸出功率將趨向零。任何一台實用熱機,都要求一定的輸出功率,因而總是在有限時內完成循環。此外,還存在熱漏、摩擦等不可逆因素,也降低循環效率。為了使熱力學理論能更好地指導實際,人們致力於尋求比可逆熱力學界限更切合實際的性能界限。人們首先考慮了熱 阻不可逆因素影響,建立內可逆卡諾循環模型,得到了二熱源熱機在最大功率輸出時的極限效率(即著名的CA效率)。
不可逆熱機實際熱機除了熱阻外,還存在其它很多不可逆性,研究和分析各種不可逆損失及其對熱機性能的影響,是機器設計的主要任務之一。
理論和實際觀測的結果都表明了不可逆熱機的功率P與效率η的關係曲線是一根通過零點的閉合曲線 。

