取代反應
在取代反應中,化合物的一個官能團被另一個官能團所取代。在有機化學中,親電子和親核性取代反應非常重要。有機的取代反應會依以下的特點,被歸類到若干個有機反應類別中:
促使反應的反應物是親電子試劑還是親核試劑。
反應中的中間物是一個陽離子、一個陰離子還是一個自由基。
反應的基質是脂肪族化合物還是芳香族化合物。
詳細了解反應類別不但對預測反應產物很有幫助,而且能幫助我們從諸如溫度、溶劑等變數上來最佳化該反應。
正文
有機化合物受到某類試劑的進攻,致使分子中一個基(或原子)被這個試劑所取代的反應。取代反應可分為親核取代、親電取代和均裂取代三類。這些反應又可根據速率決定步驟涉及的分子數目而分為單分子反應和雙分子反應。如果取代反應發生在分子內各基團之間,稱分子內取代。有些取代反應中又同時發生分子重排(見重排反應)。親核取代反應 簡稱SN。飽和碳上的親核取代反應很多。例如,鹵代烷能分別與氫氧化鈉、醇鈉或酚鈉、硫脲、硫醇鈉、羧酸鹽和氨或胺等發生親核取代反應,生成醇、醚、硫醇、硫醚、羧酸酯和胺等:

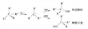
由於反應物結構和反應條件的差異,SN有兩種機理,即單分子親核取代反應SN1和雙分子親核取代反應 SN2。SN1的過程分為兩步:第一步,反應物發生鍵裂(電離),生成活性中間體正碳離子和離去基團;第二步,正碳離子迅速與試劑結合成為產物。總的反應速率只與反應物濃度成正比,而與試劑濃度無關。由於正碳離子呈平面結構,反應結果使中心碳原子的構型發生外消鏇化或差向異構化。SN2為舊鍵斷裂和新鍵形成同時發生的協同過程,試劑從離去基團的背面進攻,反應結果使中心碳原子的構型發生轉化。反應速率與反應物濃度和試劑濃度都成正比。能生成相對穩定的正碳離子和離去基團的反應物容易發生SN1,中心碳原子空間阻礙小的反應物容易發生SN2。
如果親核試劑呈鹼性,則親核取代反應常伴有消除反應,兩者的比例取決於反應物結構、試劑性質和反應條件。低溫和鹼性弱對SN取代有利。
進入的取代基團,可以占據原來離去基團的位置,即構型不變;如果進入基團是從離去基團的背面進入的,則發生構型的翻轉。這種立體關係可用下式表示:
取代反應芳族取代反應 分芳族親電取代反應SEAr和芳族親核取代反應SNAr兩類,Ar表示芳基。
芳烴通過硝化、鹵化、磺化和弗里德-克雷夫茨反應,可分別在芳環上引進硝基、鹵原子、磺酸基和烷基或醯基,這些都屬SEAr。芳環上已有取代基的化合物,取代基對試劑的進攻有定位作用。苯環上的取代基為給電子基團和鹵原子時,親電試劑較多地進入其鄰位和對位;取代基為吸電子基團時,則以得到間位產物為主。例如甲苯與混酸(硝酸和硫酸)作用,得到硝基甲苯各同分異構體,其中鄰、對、間的比例為40:57:3;而硝基苯與混酸作用得到二硝基苯各異構體,其中鄰、對、間的比例為6:1:93。除發生這些正常反應外,有時試劑還可以進攻原有取代基的位置並取而代之,這種情況稱為原位取代。SNAr需要一定條件才能進行。如鹵代芳烴一般不易發生SNAr,但當鹵原子受到鄰或對位硝基的活化,則易被取代,如2,4-二硝基氯苯容易水解為2,4-二硝基苯酚。這是由於鹵原子所在的碳原子上,受到鄰位或對位硝基的吸電子作用的影響,使電子云密度降低,較易與OH- 負離子結合,同時鹵素作為負離子離去:


均裂取代反應 簡稱SH為自由基對反應物分子中某原子的進攻,生成產物和一個新的自由基的反應。這種反應通常是自由基鏈式反應中的鏈轉移步驟。烷烴氯化生成氯代烷混合物是典型例子:
CH4+Cl·─→CH3·+HCl Cl2+CH3·─→Cl·+CH3Cl
一些有機物在空氣中會發生自動氧化,其過程也是均裂取代,如苯甲醛、異丙苯和四氫萘等與氧氣作用,可分別生成相應的有機過氧化物。
