基本內容
藥理學
介紹
去乙醯毛花苷
拼音名:Quyixian Maohuagan
英文名:Deslanoside
書頁號:2000年版二部-83
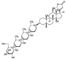
C47H74O19 943.09
本品為3-[(O-β-D-葡吡喃糖基-(1→4)-O-2,6-二脫氧-β-D-核-己吡喃糖
基-(1→4)-O-2,6-二脫氧-β-D-核-己吡喃糖基-(1→4)-O-2,6-二脫氧-β-D-
核-己吡喃糖基) 氧代]-12,14-二羥基-心甾-20(22)-烯內酯。按乾燥品計算,含
C47H74O19應為96.0%~104. 0%。
分子結構式
去乙醯毛花苷性狀
本品為白色結晶性粉末;無臭,味苦;有引濕性。
本品在甲醇中微溶,在乙醇中極微溶解,在水或氯仿中幾乎不溶。
比鏇度 取本品,精密稱定,加無水吡啶溶解並定量稀釋製成每1ml中約含20mg的
溶液,依法測定(附錄Ⅵ E),比鏇度應為+7°至+9°。
藥理學
為毛花苷丙的脫乙醯基衍生物,其藥理性質與毛花苷丙相同,但比較穩定,作用迅速,常以注射給藥用於快速飽和,繼後用其他慢速、中速類強心苷作維持治療。靜脈注射經5~30分鐘生效,1~2小時達最大效應,t1/233小時。3~6日作用完全消失。
適應症
用於急性心力衰竭及心房顫動、撲動等。
用法和用量
由於劑型及規格不同,用法用量請仔細閱讀藥品說明書或遵醫囑。
不良反應
可有噁心、嘔吐、食欲不振、頭痛、心動過緩等。
注意事項
①禁與鈣注射劑合用。②嚴重心肌損害及腎功能不全者慎用。
藥典介紹
【鑑別】 (1) 取本品約2mg,置試管中,加冰醋酸2ml溶解後,加三氯化鐵試液1滴,搖勻,沿試管壁緩緩加入硫酸2ml ,在兩液層接界處即顯棕色,冰醋酸層顯藍綠色。
(2) 取本品約2mg,置試管中,加乙醇2ml溶解後,加二硝基苯甲酸試液與乙醇制氫氧化鉀試液各10滴,搖勻,溶液即顯紅紫色。
(3) 取本品與去乙醯毛花苷對照品,加甲醇製成每1ml中含0.2mg的溶液。照薄層色譜法(附錄V B),吸收上述兩種溶液各10μl,分別點於同一矽膠G薄層板上,以二氯甲烷-甲醇-水(84:15:1)為展開劑,展開,晾乾,噴以硫酸-乙醇(1:9),在140℃加熱15分鐘,置紫外光燈(365nm)下檢視。供試品溶液所顯主斑點的位置和螢光應與對照品溶液的主斑點相同。
(4) 在含量測定項下記錄的色譜圖中,供試品溶液主峰的保留時間應與對照品溶液主峰的保留時間一致。以上(3) 、(4)兩項可選做一項。
【檢查】有關物質 取本品,加少量甲醇超聲使溶解,用流動相稀釋製成每lml中約含0.2mg的溶液,作為供試品溶液;精密量取lml,置100ml量瓶中,用流動相稀釋至刻度,搖勻,作為對照溶液。照高效液相色譜法(附錄V D) 試驗。用十八烷基矽烷鍵合矽膠為填充劑;以水為流動相A;以乙腈-甲醇(22:14) 為流動相B;檢測波長為220 nm。按下表進行梯度洗脫,理論板數按去乙醯毛花苷峰計箅不低於2000,主峰與相鄰雜質峰的分離度應符合要求。取對照溶液20μl,注入液相色譜儀,調節檢測靈敏度,使主成分色譜峰的峰高約為滿量程的25%。再精密量取供試品溶液和對照溶液各20μl,分別注入液相色譜儀,供試品溶液的色譜圖中如有雜質峰,單個雜質峰面積不得大於對照溶液主峰面積的2.5倍(2. 5%),各雜質峰面積的和不得大於對照溶液主峰面積的5倍(5.0%) 。
乾燥失重 取本品,在105℃乾燥至恆重,減失重量不得過1.0%(附錄Ⅷ L)。
【含量測定】 照高效液相色譜法(附錄V D)測定。色譜條件與系統適用性試驗用十八烷基矽垸鍵合矽膠為填充劑;以乙腈-甲醇-水(232:148:620)為流動相,檢測波長為220nm ,理論板數按去乙醯毛花苷峰計算不低於2000,去乙醯毛花苷峰與相鄰雜質峰的分離度應符合要求。測定法取本品約20mg ,置100ml量瓶中,加少量甲醇超聲使溶解,用流動相稀釋至刻度,搖勻,精密量取,注入液相色譜儀,記錄色譜圖;另取去乙醯毛花苷對照品,同法測定,按外標法以峰面積計算,即得。
【類別】 強心藥。
【貯藏】 遮光,密封保存。

