原子光譜的超精細結構
正文
原子核-內部結構模型圖 磁性超精細結構 許多原子核具有自鏇,自鏇角動量是I媡。I為自鏇量子數,取整數或半整數;媡即普朗克常數乘以1/2π。伴隨自鏇,原子核具有磁偶極矩μI。核磁偶極矩與電子之間有相互作用,表現在核自鏇角動量(矢量pi)與電子總角動量(矢量pJ)之間的耦合。總的角動量為pF
pF=pI+pJ。
表征總角動量的量子數F取值從|I-J|到I+J。由於這種相互作用,對於每一個J,能級將分裂成(2I+1)個(I<J時)或(2J+1)個(I>J時)子能級,每一子能級由一個量子數F表征。附加的能量修正值是
(hfs表超精細結構,m表磁性) 
, (1)
時,J=
的能級分裂見圖1。由式(1)可知,這種分裂符合朗德間隔定則。
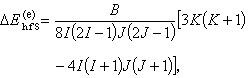
原子光譜的超精細結構
(e表電性)
(2) 式中 A與核電四極矩及核處電場梯度有關,對應於某一個J的能級,它是一常數。由式(2)可知
僅出現於
的能級中,作用是疊加在磁性超精細分裂之上,使分裂偏離朗德間隔定則。 23Na的共振線(32 S-32 P)的超精細結構 以

原子光譜的超精細結構
原子光譜的超精細結構參考書目
H. G. Kuhn,Atomic Spectra,Longmans,London,1962.
A. Corney, Atomic and Laser Spectroscopy,Clarendon Press,Oxford,1977.
