定義
所謂厄密算符,即
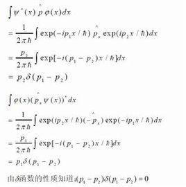
厄米算符本徵函式的正交性
厄密算符的平均值
定理I:體系任何狀態ψ下,其厄密算符的平均值必為實數。
逆定理:在任何狀態下,平均值均為實數的算符必為厄密算符。
實驗上的可觀測 量當然要求在任何狀態下平均值都是實數,因此相應的算符必須是厄密算符。
厄密算符的本徵方程
厄密算符平方的平均值一定大於等於零
若體系處於一種特殊狀態,在此狀態下測量F所得結果是唯一確定的,則稱這種狀態為力學量F的本徵態。

厄密算符的平均值 定理I:體系任何狀態ψ下,其厄密算符的本徵值必為實數。
所謂厄密算符,即
厄密算符的平均值
定理I:體系任何狀態ψ下,其厄密算符的平均值必為實數。
逆定理:在任何狀態下,平均值均為實數的算符必為厄密算符。
實驗上的可觀測 量當然要求在任何狀態下平均值都是實數,因此相應的算符必須是厄密算符。
厄密算符的本徵方程
厄密算符平方的平均值一定大於等於零
若體系處於一種特殊狀態,在此狀態下測量F所得結果是唯一確定的,則稱這種狀態為力學量F的本徵態。
湮滅算符是指場論二次量子化中消滅某個粒子的算符,或由此引申出的具有類似意義的算符。
二次量子化中的產生湮滅算符 場論以外的產生湮滅算符厄密是量子力學領域的一個專有辭彙。如果說兩個物理量是厄密的,說明兩個物理量能同時被測定。所有可觀察的物理量都相應厄密算符。
概述 厄密算符道家符是道教特有的一種文化,是道教溝通人神的憑證和秘訣,是道教不可或缺的重要法術。道教內傳承有許多符圖咒語,在道藏經籍中被大量地保管,在齋醮科儀活動中被...
什麼是符圖 什麼是道家符 道家符的形成 道家符文化根源 道家符術是什麼《西遊釋厄傳》(Oriental Legend)是台灣的IGS(鈊象電子股份有限公司)於1997年發行的一款經典動作過關類街機遊戲。 以西遊記中的角色為...
遊戲背景 人物介紹 特色系統 遊戲指南 發售版本《西遊釋厄傳》是開發商鈊象電子製作的一款街機遊戲,發行於1997年。遊戲以西遊記中的角色為遊戲角色,通過格鬥形式一路過關斬將,達到最終勝利的目標。
遊戲背景 人物介紹 特色系統 遊戲指南 發售版本《西遊釋厄傳》是開發商鈊象電子製作的一款街機遊戲,發行於1997年。遊戲以西遊記中的角色為遊戲角色,通過格鬥形式一路過關斬將,達到最終勝利的目標。
遊戲背景 人物介紹 特色系統 遊戲指南 發售版本太歲又稱太歲星君,或者歲君,它既是星辰,民間也稱之為聚仙堂太歲符,也是漢族民間奉祀的神只。太歲就是天上的木星,因為木星每十二個月運行一次,所以古代漢族人...
簡述 太歲符 傳說 犯太歲 其它命主算延年。使傳下世。能度三途五苦八難之厄。能與削死上生大計之令。總監形... 說 東 斗 主 算 護 命 妙 經 》 、 《 太 上 說 西 斗 記...。孰敢不從。執籙把符。玉女金童。延生保命。乘雲御風。生身受鍊。度世無窮...
太上五斗經 保命妙經與你保持距離,避免發生近身戰鬥;最有趣的怪物要算昂拉菲兒,他是一種飄無...》,增加了兩個新職業,以及符文系統,並且開放了第五幕劇情。系列...)沿海的特彌斯庫拉(Themiscyra)(今天土耳其黑海沿岸的特爾密...
系列介紹 遊戲內容 人物傳說 遊戲方式 符文裝備