成份
主要成分為匹多莫德。
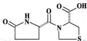
其化學名稱為:(R)-3-[(S)-(5-氧-2-吡咯烷基)羰基]-噻唑烷-4-羧酸。
化學結構式;
匹多莫德口服液分子式:CHNOS
分子量:244.26
性狀
本品為無色或微黃色的澄明液體,無臭,味微甜酸。
適應症
本品為免疫刺激劑(immunostimulamt),適用於細胞免疫功能低下的下列患者:
1.呼吸道反覆感染(氣管炎、支氣管炎);
2.耳鼻喉反覆感染(鼻炎、鼻竇炎、耳炎、咽炎、扁桃體炎);
3.泌尿系統反覆感染;
4.婦科反覆感染;
可用於預防感染急性期病症,縮短病程,減輕疾病的嚴重度,減少反覆發作次數,也可作為急性感染時抗菌藥物治療的輔助用藥。
規格
(1)10ml:0.2g(2)10ml:0.4g
用法用量
口服給藥。
兒童 急性期用藥:每次0.4克,每日二次(早晚各一次),共二周或遵醫囑;
預防用藥:每次0.4克,每日一次(早餐前),至少60天或遵醫囑;
成人 急性期用藥:每次0.8克,每日二次(早晚各一次),共二周或遵醫囑;
預防用藥:每次0.8克,每日一次(早餐前),至少60天或遵醫囑。
不良反應
尚未有用本品出現嚴重副作用的報導。少見的不良反應有頭痛、眩暈、噁心、嘔吐、腹痛、腹瀉、皮疹等,一般無須停藥治療。
禁忌
對本品過敏者禁用。妊娠三個月內婦女應禁用。
注意事項
高敏體質者慎用;因食物會影響藥物吸收,所以,本品應在餐前或餐後2小時左右服用。不要在有效期過後使用。
孕婦及哺乳期婦女用藥
尚未有孕婦和哺乳婦女用藥方面資料,儘管動物實驗無生殖毒性,仍不宜使用。妊娠3個月內婦女禁用。
兒童用藥
嚴格遵守兒童用藥的用法與用量,詳見[用法與用量]項。
老年用藥
未進行該項實驗且無可靠參考文獻。
藥物相互作用
尚未有本藥與其它藥物相互作用、相互影響的資料及報導。
藥物過量
尚未有使用本品藥物過量的報導,如遇藥物過量,則需用常規方法如催吐、導瀉、輸液等促進過量藥物排出。
藥理毒理
藥理作用:本品是一種人工合成的口服免疫刺激劑,通過刺激和調節細胞介導的免疫反應而起作用。
毒理研究:
重複給藥毒性:大鼠連續52周灌服本品200、400、800mg/kg/日,中、高劑量組雌性動物體重明顯增加,800mg/kg/日(按體表面積折算,相當於臨床推薦最大劑量的4.9倍)組動物尿pH值和尿蛋白增高,組織學檢查可見高劑量組雄性動物頸淋巴結外皮層細胞增加,少數雌性動物胃、十二指腸膨大部分黏膜增生,可能與給藥有關。大鼠連續4周灌服本品1200mg/kg/日(按體表面積折算,相當於臨床推薦最大劑量的7.3倍),可引起少數動物腹瀉、鎮靜、反應性降低、活動減少和甲狀腺輕度增大,但無組織改變。Beagle犬連續52周灌服本品,劑量達600mg/kg/日(按體表面積折算,相當於臨床推薦最大劑量的12.2倍),時偶見少數動物腹瀉、腎臟重量增加、腎小管輕微擴張和間質纖維增生,血清尿素氮和肌酐輕微增加。
遺傳毒性:本品Ames試驗、L5178Y細胞基因突變試驗、CHO細胞染色體畸變試驗、哺乳動物HelaS3細胞DNA損傷試驗和小鼠微核試驗結果均為陰性。
生殖毒性:一般生殖毒性:雌、雄SD大鼠經口給予本品劑量達600mg/kg/日(按體表面積折算,相當於臨床推薦最大劑量的3.6倍),對生殖力無影響,對F1和F2代仔鼠的生育力、軀體運動、行為和神經發育也無影響。
致畸敏感期毒性:致畸敏感期雌性SD大鼠灌服劑量達600mg/kg/日時,未見致畸性;靜注250、500和1000mg/kg/日時,母鼠的攝食量減少、體重增加減慢。中、高劑量組動物著床率下降,但對胚胎髮育無明顯影響,無毒性反應劑量為250mg/kg/日(按體表面積折算,相當於臨床推薦日注射量的12.2倍)。紐西蘭兔在致畸敏感期灌服劑量達300mg/kg/日、靜注劑量達500/mg/kg/日,均未見致畸性。
圍產期毒性:SD大鼠從妊娠第16天至產後第21天連續灌服劑量達600mg/kg/日、靜注劑量達500mg/kg/日,對母鼠的一般狀況、生育情況、F1代子鼠的存活、生長發育等均無影響。
藥代動力學
椐資料報導,18名健康男性志願者單劑量口服本品800mg後,血中藥物達峰時間為1.9±0.6h,達峰濃度為5.843±1.968ug/ml,消除半衰期為1.65±0.33h,曲線下面積為24.68±6.88ug/ml·h,各藥代參數與從義大利進口的匹多莫德口服液相比均無顯著性差異。
貯藏
密封,在陰涼處保存(不超過20℃)。
包裝
低硼矽玻璃管制口服液體瓶(棕色),(1)10ml:0.2g 10ml/支×6支/盒;
(2)10ml:0.4g 10ml/支×6支/盒,20ml/支×6支/盒。
有效期
暫定24個月。
執行標準
(1)10ml:0.2g 國家藥品監督管理局標準(試行)WS-981(X-735)-2002(2)
(2)10ml:0.4g 國家藥品監督管理局標準(試行)WS-981(X-735)-2002(1)

