勢概念的產生髮展
勢理論首先是在力學中建立起來的。牛頓萬有引力定律建立之後,在18世紀,物理學的一個重要問題是確定一個物體對另一個物體的引力的大小。例如太陽對行星的引力,地球對外部質點的引力,地球對另一連續分布物體的引力,等等,如果不能把兩者都當作質點,就必須考慮物體的形狀和質量分布。在18世紀初已經知道地球是一個橢球體,在計算地球對外部質點的引力時,不能把地球的質量看作集中在中心,於是產生了橢圓積分的困難。
1777年拉格朗日用引力勢V(x,y,z)描述引力場,任一點的引力F等於該點引力勢V的負梯度,即
勢[物理學術語]
勢[物理學術語]其中 是一個矢量微分算符,為梯度。1789年拉普拉斯給出了直角坐標式的引力勢方程:
勢[物理學術語]上式就是著名的拉普拉斯方程,它是一個偏微分方程。拉普拉斯假設,當被吸引的質點位於物體內部時,上式方程也成立。1813年泊松更正了這個錯誤,泊松指出,如果(x,y,z)點在吸引物體內部,則拉普拉斯方程式應修改為:
勢[物理學術語]上式中ρ是該點的質量密度,上式即為著名的泊松方程。
拉格朗日、拉普拉斯、泊松建立的引力的勢理論,提供了求解引力問題的新途徑,即除了採用積分方法外,還可以通過求解上述偏微分方程來求得引力。拉普拉斯方程和泊松方程則以其簡明、優美而引人注目,儘管關於方程的解的一般性質,直至19世紀20年代還幾乎不太了解。
物理學發展到至今,在大學物理中涉及到的勢有引力勢(重力勢),靜電勢;在理論物理學中還涉及到了磁標勢、磁矢勢、推遲勢等。
簡介
在保守場裡,把一個單位質點(如重力場中的單位質量,靜電場中的單位正電荷)從場中的某一點A移到參考點,場力所作的功是一個定值。也就是說,在保守場中,單位質點在A點與參考點的勢能之差是一定的,人們把這個勢能差定義為保守場中A點的“勢”。勢是保守場的位置的單值函式,與質點的存在與否無關。只有在保守場中才能引入勢的概念。參考點的選定是可以任意的。例如,對於靜電場參考點常選在無限遠處,也可以把地球或其它大的導體選作參考點。對於重力場則把地面作為參考點。摩擦力所作的功不僅與運動質點的初、終位置有關,而且與它所通過的路徑有關,所以摩擦力是非保守力。運動電荷在磁場中所受到的磁力也是非保守力。在非保守場中不存在勢能,也不能引入勢的概念。
在熱力學中,所謂勢,就是推動能量傳遞的作用力,其數值的大小直接地決定能量傳遞作用的強度。例如,當系統和外界間傳遞容積變化功時,推動做功的勢是壓力。常見的勢如壓力(p)、溫度(T)等。
相關勢概念
電勢
由庫侖定律知,靜止點電荷之間的相互作用力是有心力,其方向在兩者的連線上,大小隻依賴於兩者的距離,靜電力對電荷所作的功與路徑無關,只由起點和終點的位置決定,表達為:
勢[物理學術語]這就是靜電場的環路定理,電場強度的環量為零,其微分形式為:
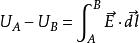
勢[物理學術語]此式表明,靜電場為無鏇場。又根據靜電場做功與路徑無關的特徵,可以引入“勢函式”U,並用勢函式的差表示靜電場力的功。由此,靜電場中任意兩點的電勢差定義為:
勢[物理學術語]但場中任一點的電勢並不確定,還與參考點的位置有關。當電荷分布在有限區域時,常選無窮遠點為參考點,這樣場中某點P的電勢ϕ(P)為:
勢[物理學術語]電勢ϕ的物理意義為:在電場E中由P點移動一個單位正電荷到參考點時,電場力所作的功。
磁矢勢
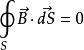
載流導線產生的磁感應線是無始無終的閉合線,可以想像,從一個閉合曲面S的某處穿進的磁感應線必定要從另一處穿出,所以通過任意閉合曲面的磁通量恆等於零,即:
勢[物理學術語]上式稱之為磁場的“高斯定理”。該定理表明:通過一個曲面的磁通量僅由此曲面的邊界線所決定。
既然曲面S的磁通量僅由此曲面的邊界線L所決定,就可以找到一個矢量A,它沿L做線積分等於通過S的磁通量:
勢[物理學術語]這個矢量A叫做磁矢勢。
![勢[物理學術語] 勢[物理學術語]](/img/0/fa2/nBnauM3X3cjN0kTMwgDN5EDN0UTMyITNykTO0EDMwAjMwUzL4QzL0EzLt92YucmbvRWdo5Cd0FmLzE2LvoDc0RHa.jpg)
