定義
定義一
勒讓德多項式的數學描述如下 :
勒讓德多項式式中,
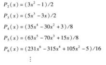
勒讓德多項式下圖為幾個低階的勒讓德多項式 :
勒讓德多項式
勒讓德多項式定義二
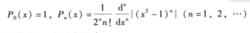
在區間[一1,1]帶權函式ρ(x)=1的正交多項式為
勒讓德多項式它稱為勒讓德(Legendre)多項式。
由於(x²-1)ⁿ是2n次多項式,求n階導數後.得到
勒讓德多項式於是,得到首項(最高次項)xⁿ的係數
勒讓德多項式顯然.首項係數為1的勒讓德多項式為
勒讓德多項式性質
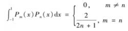
正交性
1.正交性
勒讓德多項式2.奇偶性
勒讓德多項式事實上,(x²—1)ⁿ是偶函式,經過偶數次求導仍為偶函式,經過奇數次求導仍為奇函式,故由式
勒讓德多項式知,n為偶數時Pn(x)為偶函式,n為奇數時Pn(x)為奇函式,奇偶性成立。
3.遞推關係
勒讓德多項式由P0(x)=1,P1(x)=x,利用上式就可推出
勒讓德多項式下圖給出了P0(x),P1(x),P2(x),P3(x)的圖形。
勒讓德多項式4. Pn(x)在區間(一1,1)內有n個不同的實零點 。

