基本介紹
最小平方逼近多項式
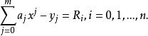
最小平方逼近多項式當 時,設逼近多項式 ,記
最小平方逼近多項式
最小平方逼近多項式則 最小平方逼近多項式 ,使
最小平方逼近多項式由多元函式極值必要條件
最小平方逼近多項式
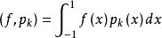
最小平方逼近多項式得關於 的線性方程組:
最小平方逼近多項式
最小平方逼近多項式稱為 法方程,求解得到 ,當[a,b]為[0,1]時,法方程為
最小平方逼近多項式
最小平方逼近多項式係數矩陣為希爾伯特矩陣 ,即
最小平方逼近多項式
最小平方逼近多項式
最小平方逼近多項式
最小平方逼近多項式
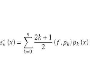
最小平方逼近多項式它是病態矩陣,因此,這種算法只適合於n≤3的情形,為此,求最小平方逼近多項式可利用勒讓德多項式 ,設 ,則在[-1,1]上的最小平方逼近多項式為 ,其中 。
曲線擬合的最小二乘法
問題描述
最小平方逼近多項式
最小平方逼近多項式
最小平方逼近多項式在生產實踐和科學研究中,時常需要從一組測定的數據去求函式 的近似表達式。從圖形上看,這個問題就是根據曲線 上已給的(n+1)個點 ,求作該曲線的近似圖形。插值問題就屬於這種問題。
最小平方逼近多項式
最小平方逼近多項式
最小平方逼近多項式不過插值問題要求近似曲線 嚴格地通過所給的(n+1)個點 ,這一要求將會使近似曲線 保留數據的全部測試誤差(通過實驗所得到的數據總是帶有測試誤差),如果個別數據的精度很差(誤差很大),那么插值的效果顯然是不理想的。另外,一般來說,這樣的插值多項式必須是n次的,n較大時,插值多項式次數也比較高,這對於函式性質分析和實際計算都是不方便的。
最小平方逼近多項式
最小平方逼近多項式為了降低多項式次數,又在給定數據的基礎上反映數據的一般趨勢,放棄必須通過所有(n+1)個點的要求,但希望這條多項式曲線儘量接近每一點,也就是:尋求一個次數低於n的m次多項式,使它在 點上取值儘量接近 ,這就是代數曲線擬合問題。
最小二乘法表述
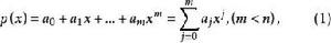
設所求的多項式為
最小平方逼近多項式令
最小平方逼近多項式即
最小平方逼近多項式
最小平方逼近多項式
最小平方逼近多項式
最小平方逼近多項式由於曲線 不一定通過所有點 ,所以諸 不會全為零。
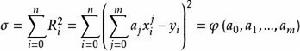
最小平方逼近多項式所謂最小二乘法,就是選擇 ,使
最小平方逼近多項式達到最小值。
最小平方逼近多項式
最小平方逼近多項式
最小平方逼近多項式
最小平方逼近多項式
最小平方逼近多項式
最小平方逼近多項式是衡量 逼近 的準確程度的一種尺度。使 達到最小的多項式(1)稱為 在點名 上的m次 最小平方逼近多項式。
最小平方逼近多項式的存在性
最小平方逼近多項式
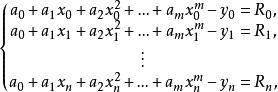
最小平方逼近多項式由微分學知,若使 達到最小值,則 必滿足:
最小平方逼近多項式即
最小平方逼近多項式或者
最小平方逼近多項式也可以寫成
最小平方逼近多項式式(2)稱為正規方程組。
定理1式(1)的解是存在唯一的。
最小平方逼近多項式
最小平方逼近多項式定理2式(1)的解 使 達到最小值 。

