提出
1789年法國大革命後,於1790年宣布要對當時相當混亂的度量衡制度進行改革。科學院組成了一個由拉格朗日為首的委員會。委員會建議以從赤道到北極的一千萬分之一為長度基本單位――米,這個方案於1791年被法國國民議會通過。於是就要著手實際測量從赤道到北極的長度。勒讓德參加了測量,並且是經度局的一名成員。1813年拉格朗日逝世,勒讓德接替他成為經度局的主席。他在數學上的貢獻,勒讓德多項式就是在計算地球形狀時的一項創造。
勒讓德在數學上的貢獻是多方面的,他在解析數論、橢圓函式、幾何學、天體力學等方面都有重要的貢獻。
1787年,勒讓德在蒙日關於最小曲面研究的啟發下,給出了勒讓德變換。勒讓德變換在勒讓德的貢獻中,開始並沒有引起人們廣泛的注意,而且,開始只是對於幾何問題的討論引進的。不過隨著歷史的發展,它在無論是數學還是力學與物理中都顯示了它的重要性,經過人們對它的推廣,被廣泛套用於許多方面。
基本原理
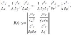
勒讓德變換是從以下偏微分方程出發的
勒讓德轉換
勒讓德轉換
勒讓德轉換
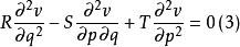
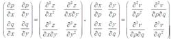
勒讓德轉換其中令,,再令R,S,T僅是p,q的函式。令曲面的切平面為
勒讓德轉換則應當有
勒讓德轉換式(2)在變數x,y和他們對偶變數p,q之間給出了一個變換。把這個變換具體寫出來就是對他求微商
勒讓德轉換
勒讓德轉換
勒讓德轉換
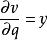
勒讓德轉換,;,.(4)
考慮到上面變換的雅科比矩陣應當互逆,即
勒讓德轉換於是有
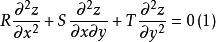
勒讓德轉換這個變換把一個擬線性方程(1)變到一個線性方程(3)。

