定義
亦稱“偶力組”。一個力和一個方向與之平行的力偶矩的組合。作用在剛體上的力系的簡化結果。通過力的平移,一般可將作用在剛體上的力系歸結為一個作用在剛體任一定點(稱為簡化中心)的力和一個力偶的組合,這個力等於力系中所有力的矢量和,這個力偶的矩則等於力系中所有力對簡化中心的力矩的矢量和。適當選取簡化中心,可使力偶矩的方向與力的方向平行,這樣的一組力和力偶即為力螺旋。當力偶矩為零時,力螺旋退化為一個力,此力即為力系的合力。當力偶矩不為零時,力系合力不存在。
數學表達
要把一個複雜的力系化為一個簡單的等效力系,可用力線的平移將力系中的諸力Fi(i=1,2,…,n)移向指定點(簡化中心),得到一個作用在簡化中心O的匯交力系和一個附加力偶系。此匯交力系又可合成一個合力R,它等於原力系中諸力的矢量和:
力螺旋R為原力系的主矢。不論選何點為簡化中心,主矢的大小和方向都不變。因此,主矢與簡化中心的位置無關。
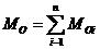
簡化中引入的附加力偶系可合成一力偶,其力偶矩MO等於原力系諸力分別對簡化中心O點之矩的矢量和:
力螺旋MO稱為原力系對簡化中心O的主矩。對於不同的簡化中心,各力的力臂也不同,因此,主矩同簡化中心的位置有關。
1、R∥MO原力系簡化為一個力和一個力偶,且這力垂直於力偶作用面(圖3),稱為力螺旋。例如鑽孔或擰螺絲釘時,作用在鑽頭或改錐上的就是力螺旋。力螺旋作用於剛體時,使其質心作加速度運動,同時又產生角加速度轉動。
力螺旋2、R和M成任意角度
可將MO分解為平行和垂直於R的兩個分量MO(∥R)和MO(⊥R)。接上述兩種情形,R和MO(⊥R)可簡化為作用於O′點的一個力R′,而R′和MO(∥R)又組成一個力螺旋(圖4)。沿R′的作用線作直線AB。當R′沿AB移動時,簡化結果不變(困R′對O點之矩不變),故只要簡化中心取在AB上,力系就可簡化為力螺旋。直線AB稱為該力系的中心軸或最小力矩軸,因為力系對不在中心軸上的任一點的主矩其MO(∥R)與MO(⊥R)之和總是大於MO(∥R)。
力螺旋