形式
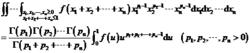
劉維爾公式多重積分中的劉維爾公式如右圖所示。
劉維爾公式是一個關於多重積分和歐拉積分的公式。
形式
劉維爾公式多重積分中的劉維爾公式如右圖所示。
劉維爾(Joseph Liouville) 法國數學家,一生從事數學、力學和天文學的研究,涉足廣泛,成果豐富,尤其對雙周期橢圓函式、微分方程邊值問題和數...
簡介 函式論 微分方程與積分方程 數論 其他劉維爾(Joseph Liouville) 法國數學家,一生從事數學、力學和天文學的研究,涉足廣泛,成果豐富,尤其對雙周期橢圓函式、微分方程邊值問題和數...
古格列爾莫•馬可尼(Guglielmo Marconi),與此同時俄國...
《上帝擲骰子嗎》 序 第一章 黃金時代 第二章 烏雲 第三章 火流星求一元五次方程的根式解曾困擾數學家三百餘年,阿貝爾和伽羅瓦的工作證明了一般一元五次方程沒有根式解。1930 年華羅庚《蘇家駒之代數的五次方程式解法不能 ...
早期研究 破解挑戰影片《哈利·波特與火焰杯》是《哈利·波特》電影系列的第四部,由麥可·尼維爾執導,丹尼爾·雷德克里夫、愛瑪·沃森、魯伯特·格林特和湯姆·費爾頓等聯袂出演...
劇情簡介 演職員表 角色介紹 音樂原聲 幕後花絮劉克峰,1965年出生於河南開封,浙江大學數學中心執行主任兼數學系主任,光彪講座教授,美國加州大學洛杉磯分校數學系教授,國際頂尖數學雜誌《幾何與分析通訊...
個人履歷 成長經歷 個人成就被憲兵團團長和主教認定是人類的威脅而要求判死刑,但在調查兵團團長艾維爾和...圈養的畜牲一般安穩的生活著。主人公艾倫·耶格爾對還沒見過的外面的世界抱有...被視為異端。 人們安逸了100年之際,也就是艾倫·耶格爾十歲那年、突然出現...
故事簡介 製作團隊 角色表 動畫音樂 人物介紹,哥德巴赫猜想解的個數計算方法:以下公式的推理,請搜尋《哥德巴赫猜想為什麼成立》公式一、K(√M)/4-1;公式二、E K(√M)/4-1;公式三、E...素數對個數不低於公式一減N,K(√M)/4-1-N(是因為:偶數屬於自然...
概述 研究途徑 成果 發展 成績劇情簡介幾十年來,綽號“紅魔”的前軍事情報官員Raymond Reddington一直是聯邦調查局通緝犯名單上的重要人物。他為全...
劇情簡介 分集劇情 演職員表 幕後花絮 獲獎記錄