簡介
剪下變換
剪下變換
剪下變換
剪下變換
剪下變換
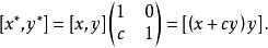
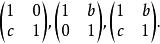
剪下變換剪下變換(shear transformation)是空間線性變換之一。變換後的新坐標值如圖1所示,相當於原坐標值經橫向剪下。其中值為剪下常數。剪下變換可以僅是坐標、或僅是坐標受橫向剪下,也可以是兩個坐標同時受橫向剪下。僅坐標受橫向剪下時的變換關係如圖1(b)所示,取決於下式所示的矩陣乘法運算 :
剪下變換
剪下變換
剪下變換
剪下變換
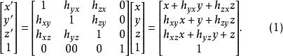
剪下變換僅坐標或坐標受剪下以及與坐標同時受剪下時的變換矩陣分別為:
剪下變換
圖1(a) 剪下變換y向
圖1(b) 剪下變換x向剪下矩陣
剪下變換
剪下變換
剪下變換
剪下變換
剪下變換
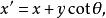
剪下變換從一系列的旋轉、平移和縮放變換,我們可以得到任意的仿射變換,但是還有一類非常重要的變換—— 剪下變換,由於該類變換比較重要,所以我們把它當作基本變換,而不是從其他3類變換推導而來。考慮一個處於原點的立方體,該立方體的各表面對齊於各坐標軸,從正軸位置看到的視圖如圖2所示。如果把頂面向右拉而底面向左拉,會得到一個沿軸方向剪下的對象。由於軸和軸方向都不受剪下影響,因此稱該剪下變換為 軸剪下,以區別於其他方向的剪下變換。利用圖3中簡單的三角幾何關係,我們發現可以用角度來表示剪下變換的特性。該剪下變換方程為 :
剪下變換
剪下變換
剪下變換從上述3個方程,得到剪下變換矩陣為:
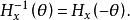
剪下變換如果沿著相反方向進行剪下變換,則得到剪下的逆變換,因此有
剪下變換
圖2 剪下變換
圖3 剪下矩陣的計算過程通用的3D剪下矩陣
在3D環境下,對象可沿任一坐標軸、任一坐標平面或二者組合實現剪下變換。通用的3D剪下矩陣如下所示:
剪下變換其中包含了6個 剪下參數。該矩陣作用於某一頂點坐標後的效果如下所示:
剪下變換
剪下變換
剪下變換下面的示例顯示了沿軸方向上的剪下變換且對應的矩陣可表示為:
剪下變換
剪下變換亦即,根據式(1),。圖4顯示了一個位於原點處的單位立方體經剪下變換後的效果 。
圖4
