概述
剪斷機是軋鋼車間用以剪下鋼材的頭、尾、邊角和定尺長度所必需的機械設備。
中板車間的剪斷機,是用來剪下鋼板的。根據剪刃的形狀分類,可分為兩類:
(1)具有傾斜剪刃的剪斷機:用作冶剪或熱剪鋼板的縱邊、頭、尾和剪下定尺。
(2)圓盤剪斷機:用作鋼板的縱向剪下或剪鋼板的側邊。
為了得到成品鋼板的定寬定長,達就必須剪下鋼板的側邊和頭尾。在精整線上裝設具有傾斜剪刃的剪斷機。達種剪斷機有上切式與下切式兩種類型。下切式適用於剪厚板或連續作業機組中切頭尾用。中板車間一般都採用上切式剪斷機。通常是一台橫剪用作剪下頭尾和切定尺。兩台分別裝在精整線輥道兩側的縱剪,剪下側邊。有的中板車間,用圓盤剪剪下鋼板側邊。
剪斷機適用於冶金、礦山 、建築、汽車製造等行業。工具機通過調換刀片,可用於型材定尺剪下及扁鋼、圓鋼、方鋼、角鋼等各種規格的金屬板材,特殊用途可代為設計。
剪斷機採用先進的可程式序控制器(PLC),優質的電器元件和密封元件,保證工具機的可靠性;摩擦離合器和制動器採用壓縮空氣傳動,壓縮空氣閥由電氣控制;靈敏的液壓壓料裝置;超負荷時,過載保護裝置可自動切斷電源,以保護主機;該機型適用於各種材質的圓鋼、方鋼、角鋼剪下(如:45#、40Cr等),還可以對有色金屬的剪下(如:銅、鋁合金等);該機型具有生產效率高,重量輕,操作者勞動條件好、噪音和振動小等優點,是高精度金屬加工行業不可缺少的棒料剪下設備。
剪機類型
在中型軋鋼車間,剪斷機的翦切對象有熱的軋件,也有冷的成品;有簡單斷面的方坯和薄板坯,也有複雜斷面的型鋼(多為冷剪),範圍廣泛。因此剪機的類型較多。茲擇其主要者分述如下:
鋼坯熱剪機
(1)250噸浮動軸式剪
250噸浮動軸式剪為1958年650×3通用設計所採用,故目前用得較多。剪機為下切式,啟動工作制;剪下次數低,理論次數為18次/分,實際為6~7次/分;剪下力不足,名義為250噸,實測只達180"電。因此產量低,滿足不了中型軋機開坯的需要,加之設備笨重、占地大、事故多,不受現場歡迎,這種落後的設備今後不宜再採用。
(2)150噸下切槓桿式和160噸上切曲軸式剪斷機
這兩種剪也用得較多。多數廠都放在熱鋸後面剪下小斷面方坯或與鋸配合剪下薄板坯。剪機為連續工作制,利用牙嵌離合器剪下。由於剪下-2+,剪下次數不高(理論次數20次/分,實際次數10次分)不能完全滿足中型軋機的需要,只能擔負車問部分產品的剪下和起輔助剪下作用。
(3)250噸沙克式剪
250噸沙克式剪為德國30年代設備,剪機為下切式。其優點為剪下質:量較好,結構緊湊,重量較輕;但剪下次數也低,(理論次數18次/分,實際達到7次/分),設備鉸接點多,磨損大,檢修工作量較大,這種剪機在我國用得較少。
上述三種剪機(特別是前二種)雖然在我國中型軋鋼車間用得較多,歷史也較久,但其結構陳舊,剪下次數低,事故多,已不能很好滿足生產要求。因此,近年來國內又陸續設計和製造了下面兩種剪機。
結構簡圖(4)250噸六連桿剪
目前在西寧鋼廠使用,結構簡圖如右圖所示。由於剪下機構的特點決定了剪斷機的剪下力為剪下機構所承受,機架不受剪下力這樣,使機架重量減輕。
剪機為下切式,剪下質量較好,不需要較重的機後擺動輥道,工作比較穩妥可靠。但由於受離合器結構(牙嵌式)的限制,剪下次數較低(理論次數18次/分,實際達到9次/分)仍不能滿足中型軋機開坯的需要。最近,原設計製造廠瀋陽重機廠針對其主要缺點,將牙嵌式離合器改為風動摩擦式離合器,理論剪下次數提高N30次/分,實際剪下次數可能達15次/分,使用性能有所改進,為一機部聯合設計組設計的650×3軋鋼車間通用設計所採用。
(5)250噸偏心活壓桿式剪
結構簡圖該剪是在上鋼二廠630車間的70噸剪的基礎上由馬鞍山鋼鐵設計院經過幾次修改設計成的,其結構簡圖如右圖所示。比之上述幾種剪機其特點是:取消傳統的牙嵌式離合器,靠汽缸推動活壓桿撞擊壓塊實現剪下;剪下次數較高,理論次數達48次/分,實際次數為20~22次/分;刀片開口度不取決於曲軸的偏心距,而取決於升降氣缸的行程,曲軸的偏心距僅決定於刀片的有效行程。偏心距可以減少到最低限度,剪機本體重量可相對減輕。該剪機刀片開口度為230毫米,曲軸偏心距僅100毫米,總重僅24.4噸。
但也存在若干不足之處:該剪機採用上切式結構,機後需要擺動輥道;加之無壓板裝置,剪下質量不如下切式好,易彎頭。且機架為閉式結構,操作人員不易看清剪下過程,換刀片時操作條件不好,麻煩。此外,活壓桿與撞塊接觸處的接觸面積小,接觸應力大,磨損嚴重,需經常焊補。同時,由於某些零件強度不夠,容易產生事故。
上述兩類剪機雖然都存在一些缺點,但總的來說比起前幾類剪機有了很大的改進,是目前國內中型車間中較為好用的二種剪機。
薄板坯剪下機
薄板坯採用熱剪剪下在工藝上有一定的優點,如切損較少,不產生鋸屑,但是熱剪的剪下次數低,一台剪單根剪下不能滿足要求,多根並排剪下則一般剪的剪刃長度不夠,操作也較困難,因此薄板坯剪下線有如下兩種形式:
多台剪單片剪下(1)多台剪單片剪下
太鋼三軋和大連鋼廠650車間(改造前)用此工藝,如右圖所示。
採用這種工藝,剪機台數比較多,生產能力較之一台剪單根剪下有所提高,但仍滿足不了軋機的產量。而且剪下的板坯容易卡在二台剪的剪刃中間送不出去,因此大連鋼廠現已改掉,採用鞍鋼一初軋的方式。
(2)單台剪多片剪下
大連鋼廠650車間改造後的薄板坯剪下線布置圖主要用在鞍鋼一初軋和大連鋼廠650(改造後)車間,右圖為大連鋼廠650車間改造後的薄板坯剪下線布置圖。
剪機採用鞍鋼一初軋的四柱剪,該剪為斜刃上切武,其技術性能為:
最大剪下厚度:45毫米
剪下行程:190毫米
剪下次數:18次/分
剪刃長度:1130毫米
剪下力:15011電
四柱剪前輥道及過鋼床的標高比軋機後輥道低60毫米。由板坯推床將板坯推到過鋼床上,迭成三迭再由鏈條撥爪送到剪前輥道。四柱剪一次可剪三迭九片,因此生產效率高(一初軋可達260噸/時),一台剪可滿足要求。但輔助設備增加較多,自成獨立的作業線,適用於板坯產量較大的中型軋鋼車間。
板坯飛剪
現用的薄板坯剪下線設備多、占地大、用人也比較多,上鋼二廠半連軋開坯車間最近投產之板坯飛剪比較有效地克服了上述問題,值得推薦,茲介紹如下:
(1)該飛剪設定在鋼坯連軋機後,用來剪下倍尺矽鋼薄板坯。飛剪中心距成品機架中心為47.5米,連軋後的矽鋼板坯總長度在30米左右,全部脫離軋機後進入飛剪進行剪下。根據用戶要求及本車間設備情況,定尺長度確定為5592,5662、5269及5320毫米四種。
(2)飛剪結構及剪下過程
該飛剪採用雙滾筒懸臂式結構,結構示意圖如右圖所示。整個飛剪由兩部分組成:送鋼輥和剪機本體。
剪機滾筒通過套筒連桿可以在偏心軸上旋轉,同時又隨著偏心軸作迴轉運動。根據剪下要求,滾筒每三轉,偏心軸轉一轉(2秒鐘),刀片進行一次剪下。
送鋼輥的作用是向飛剪以一定的速度送進板坯,同時調=書倍尺長度。鑒於矽板坯的剪下倍尺長度範圍不大(最長和最短只相差393毫米),可以採用改變送鋼輥直徑利用板坯送進速度的變化來達到剪下四種倍尺長度。
剪斷機滾筒偏心軸和送鋼輥由型交流電機經ZD-45減速機和一台綜合傳動箱傳動,使滾筒、偏心軸與送鋼輥之間的轉速關係保持恆定,保證了刀刃與板坯速度的同步。
飛剪機的主電機處於常轉狀態。在綜合傳動箱與ZD-45減速機之間有14氣動離合器,它在每根板坯剪下時合上,全部倍尺剪完後脫開,合上時間由切頭長度來確定,由光電管控制。上一根剪完後,待刀片回復到一定位置,此時通過光電管發出信號使1#氣動離合器脫開,同時祥。離合器立即合上剎住。為使刀片停子準確位置利用調節限位開關的行程來控制14、24氣動離合器脫開和合上。
送鋼輥的上輥可利用氣缸(直徑180毫米)提升和下降,以便上下輥之間留一定距離,使板坯頭順利進入。
飛剪本體和送鋼輥安在同一塊底座上,下有滑軌,不用時放在輥道外側,使用時用吊車拉至輥道中間。
該飛剪的剪下過程:當紅鋼擋住光電管的光束,就發出信號至送鋼輥升降氣缸和1#氣動離合器,上送鋼輥壓下送鋼,同時1#氣動離合器合上,制動器鬆開,上下刀刃同時啟動旋轉,開始剪頭和定尺。當整根板坯剪下完畢,待刀片復位到起始位置,光電管又發出信號,1#離合器脫開,2#離合器合上,使刀片停於準確位置,整個剪下過程完畢,下一根又重複上述過程。
(3)使用情況
這台飛剪於1976年8月投產。根據板坯產量,每月使用八天左右,其餘時間可進行檢修,保證正常運轉。總的來說,使用情況較好,長度上的剪下誤差為±3~4毫米,能夠滿足軋機的產量,但離合器的摩擦片由於加工不好,易壓碎。另外這台飛剪送鋼輥速度依靠變換輥徑的辦法來調節,對於定尺範圍變化較大的產品不太適用。
冷剪
冷剪用於剪下短定尺(如魚尾板等)及鋼材改尺。根據剪下斷面的大小,冷剪的能力在160噸~300噸之間,按計算結果選擇。剪機的型式以開口式較好,便於操作。開口度應考慮剪下斷面高度及彎扭程度,約在120~140毫米。冷剪剪下次數應考慮產量和操作方便兩方面,過快操作危險,鋼材不能準確送入剪刃,過慢則影響產量,一般實際剪下次數在15~18次/分。剪刃應帶不同形狀的槽,以適應各種斷面,在有輕軌沖孔機的車間,也可以用沖孔機來代替冷剪使用。
步進式剪簡介
步進式剪是近年來出現的一種新型剪機。普通曲柄連桿剪主軸帶動刀片上下一次即能完成一次剪下過程。而步進式剪的主軸偏心比普通剪斷機小,轉動快,主軸帶動刀片上下多次,但每次只切進少量深度,經連續積累才能完成一次剪下過程。因此,步進式剪結構的主要部分是振動剪下系統和蓄進機構。振動剪下系統實際為一小偏心的曲軸機構,由主電機帶動作快速旋轉,推動下刀架向被剪下物作每次小量的快速切進,同時通過蓄進機構推動上刀架將被剪下物不斷“送進”直至被切斷為止。蓄進機構我國目前有三種形式:螺桿(電動)、斜楔武(氣動)和水蓄進式。螺桿式蓄進機構上刀架壓下平穩,但回程很慢,不利於提高剪下次數,而水蓄進式則利用平衡送進汽缸能將刀架快速升起,有利於提高剪下次數。國內目前三種型式的步進剪分別在無錫、上海、杭州等地試驗和使用。
步進式剪由於偏心小,靠蓄進進行剪下,故剪下力矩比一般剪斷機小,因此可以使用功率較小的電動機,設備重量較輕。但步進式剪相當於上切式剪,剪下質量不如下切式剪,且剪後要有擺動輥道;下刀架牆板及偏心軸軸承易進垃圾易磨損。在剪下過程中,很難保證蓄進速度跟得上剪下振動頻率,使實際純剪時問比按偏心主軸的上下累計推算的理論剪下時間長,因此剪機的實際剪下次數較低如上海的250噸剪達10次/分;因此步進式剪在軋鋼車間未能廣泛使用,各廠都尚處於試驗改進階段,有待進一步的考驗和完善。
剪斷機最大剪下力
中型軋鋼車間多數使用平行刃剪斷機,其剪下力可按下式計算
剪斷機
剪斷機式中,——平行刃剪斷機的剪下力(噸)
剪斷機
剪斷機
剪斷機——刀刃磨鈍後,由於刀刃間間隙增加而使剪下力增大的係數,熱剪時=1.2~1.3(剪機能力≤160噸時取1.3,≥250噸時取1.2),冷剪時=1.5
剪下力與溫度、材料、軋件斷面尺寸間的關係
剪斷機
剪斷機
剪斷機
剪斷機
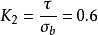
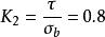
剪斷機——換算係數,為剪下應力極限與抗拉強度之比,高溫時取,常溫下
剪斷機——在相應剪下溫度下,被剪軋件的抗拉強度極限(公斤/平方毫米)
剪斷機——每次被剪軋件的橫斷面積(平方毫米)
如右圖所示。列出剪下力與溫度、材料、軋件斷面尺寸間的關係。

