定義
前方交會如下圖所示,點 A、B 的坐標已知。
通過觀測角 A 和角 B 求出點 P 坐標的定位方法被稱之為“角度前方交會”;
通過觀測方位角 AP 和 BP 求出點 P 坐標的定位方法被稱之為“方位角前方交會”。
角度前方交會
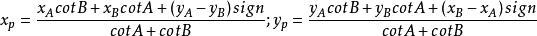
角度前方交會的計算公式如下:
前方交會上式雖然漂亮,但是並不適合於編寫程式代碼,因為角 A、B 可能會接近0或180度。編寫程式時,可使用下式:
前方交會
前方交會關於sign,它的取值為+1或-1,具體要求為:
當 A、B、P 的排列順序與方位角的增加方向一致時,它取值為1;
當 A、B、P 的排列順序與方位角的增加方向相反時,它取值為-1。
更具體的說,就是:
測量坐標系下,A、B、P 順時針排列時,sign=1;A、B、P 逆時針排列時,sign=-1。
數學坐標系下,A、B、P 逆時針排列時,sign=1;A、B、P 順時針排列時,sign=-1。
方位角前方交會
方位角前方交會的計算公式如下:
前方交會
前方交會定位精度
前方交會點P的精度為
可見,為了減少測量誤差,有效途徑為
前方交會1、提高方位角觀測精度,即減小 ;
2、P 點離 A、B 兩點不能太遠,即減小 AP 和 BP;
前方交會3、角 P 最好接近90度,即 的絕對值儘量大。
前方交會法
測角前方交會法原理即用經緯儀分別在已知點A和B上測出角α和角β,可根據上式計算待定點P的坐標。
前方交會法一般是在周邊建築物頂上布設強制對中觀測墩,在其上設站觀測。所以其視角開闊,基本上能觀測到基坑內的所有點。然而,它至少須在兩個觀測墩上設站測量,觀測量較大。並且,兩個觀測墩之間的轉站通常是在兩棟建築物之間轉,非常費時費事。另一方面,前方交會對於圖形條件的要求高,從而限制了其大範圍的使用,一般只對少數點使用。在捷運基坑監測中,前方交會一般用於工作基點的穩定性檢查。
基於前方交會的5點相對定向
圖1 本文軟體的界面(a)像對40、38;(b)像對46、39相機標定是光學成像測量(如視頻測量、機器視覺)研究領域的熱點問題之一,是實現高精度光學成像測量的基礎。相機標定方法可分為三類:
1)傳統相機標定法,通過建立精密加工的標定塊上已知三維(3D)坐標點與其像點間的對應關係,計算攝像機的內外參數。該方法的優點在於可以獲得較高的精度,但不適用於線上標定和不能使用標定塊的場合;
2)基於主動視覺的標定方法,需要控制攝像機做精確的特殊運動(如繞光心鏇轉或純平移等),以計算內外參數。該方法的優點是算法簡單,往往能獲得線性解,缺點是不適用於攝像機運動未知或無法控制的場合;
3)自標定方法,利用不同角度獲得的同名像點間的對極幾何關係(即同名像點共面),計算出攝像機內外參數。
圖2(a)所有像對絕對誤差對比圖;(b)成功像對絕對誤差對比圖
表1/2/3自標定方法因無需加工和維護成本很高的精密標定板,也不用製作高精度攝像機運動平台,僅通過不同視角的同一場景圖像實現攝像機標定,成為研究熱點。共麵條件方程是攝像機自標定的理論基礎,如五點算法、七點算法和八點算法等的核心均是同名像點的共麵條件方程。其中五點算法具有以下優勢而被廣泛關註:1)五點算法具有更少的退化形式,譬如,對平面場景不退化,但八點算法退化;2)當五點算法與一致隨機取樣(RA NSAC)結合使用時,較七點與八點算法更高效;3)五點算法的實現精度高於八點算法;4)五點算法需要設定的標記點更少。但是,按照攝影測量學的相對定向理論,同名射線對對相交才是相對定向成功的標誌。因此,僅依賴5個同名像點的共麵條件方程,難以確保本質矩陣求解成功:1)現有的五點算法因採用多項式求解技術,存在多個解而非單一解,存在誤解的排除問題;2)5個同名像點的共面不能確保這5對同名射線對對相交,導致本質矩陣求解失敗、相對定向失敗。為此,本文研究了基於前方交會約束的5點相對定向方法,建立包含前方交會約束的同名像點共麵條件方程,研究其數值計算方法,通過非量測相機的5點相對定向測量實驗,驗證本文方法的正確性。
實驗
實驗採用非量測相機NikonD80單眼相機(解析度為3872 pixel×2592 pixel),Nikon24mm定焦鏡頭,以自由拍攝方式,從不同視角拍攝包含2標尺及其他8個編碼點的照片。如圖1所示,標尺1的編碼點分別為1919和255,標尺2的編碼點分別為1407和895,兩個標尺長度採用計量級三坐標測量機標定,分別為917.233 mm和920.604 mm,標尺1和標尺2的長度比值 LR為0.996。採用MicrosoftVisualStudio2008開發了前方交會約束的5點相對定向軟體,圖1是該軟體處理表1中3對像對的界面,圖中綠色數字為編碼點編號,紅色數字為選中的編碼點編號,5點定向選擇的編碼點為861、1919、1407、255、895。
為了進一步驗證本文方法的正確性,用表1和表2的定向結果計算標尺比 L, L的絕對誤差如圖2所示,從圖中可知像對1、6、7使用兩種方法求解均能得到正確的結果,但是本文算法絕對誤差更小[圖2(b)],三組實驗的平均絕對誤差小7.67×10 ,表明長度為920 mm目標的三維長度絕對誤差減少7.1 mm;其餘無前交約束像對則因相對定向元素求解失敗,導致 L的計算值出現較大誤差,而本文方法依然準確,表明本文方法求得的標尺比絕對誤差小,並且更加穩定。
另一方面,如表3所示,用標尺1分別對表1與表2中的相對定向結果進行絕對定向,得到標尺2的測量值;同理用標尺2進行絕對定向得到標尺1的測量值。由表3可知,利用標尺2絕對定向後測得標尺1的平均值為917.5 mm,均值誤差的不確定度為0.3±0.2 mm;同理,利用標尺1絕對定向後測得標尺2的平均值為920.3 mm,均值誤差的不確定度為0.3±0.2 mm。結果表明對於非量測相機NikonD80,採用本文方法可以得到滿意的測量精準度,從而驗證了本文方法的有效性。
研究結論
建立了基於前方交會的5點相對定向方法,推導了包含前方交會約束的同名像點共麵條件方程及其數值計算方法。非量測相機NikonD80的8組5點相對定向實驗結果表明,該方法僅利用5個同名像點既可獲得兩張像片的相對位置(相對定向)立體模型,在測量長度為920 mm的標尺3D長度時,誤差的標準不確定度為0.3±0.2 mm,與無約束5點相對定向方法相比,該方法無需排解即可確保5對同名射線對對相交,並且求解精度高,穩健性好,有實用價值。

