制冷機循環
正文
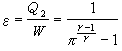
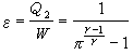
將熱量由低溫熱源移向高溫熱源的熱力循環。制冷機循環中的工質稱為製冷劑。通常,製冷劑經歷壓縮、冷卻、膨脹和吸熱等過程完成制冷機循環。制冷機循環除逆卡諾循環(見卡諾循環)外,主要還有逆勃朗登循環、逆蘭金循環和逆斯特林循環。逆勃朗登循環(見勃朗登循環)是氣體壓縮式制冷機的理想循環。製冷劑為空氣、氦等氣體。製冷係數為

。π 越高則ε越低,它還與比熱容比γ有關。 逆蘭金循環(見蘭金循環)是蒸氣壓縮式制冷機的工作循環。為簡化設備,以絕熱節流膨脹代替可逆絕熱膨脹(圖1中的 1-2-3-4-5-1)。常用氨、氟里昂等作為製冷劑。製冷係數為

制冷機循環這幾種壓縮式制冷機循環都是以消耗機械功為代價的,而吸收式制冷機循環和蒸汽噴射式制冷機循環則以消耗熱量為代價,特別是吸收式制冷機循環可以利用溫度並不太高的低品位熱源,因而可以作為利用餘熱或太陽能等熱源驅動制冷機的工作循環,也很有發展前途。圖2為吸收式制冷機(或熱泵)循環的原理。溫度為Th的工作熱源提供熱量Qh,使熱量Q2從溫度為T2的低溫熱源移向溫度為T1的高溫熱源。它的經濟性常用熱能利用係數ε′表示為
。
制冷機循環
