定義
(limited speed)列車運行中受設計標準和各種設備的技術條件限制所允許達到的最高或最低速度。客貨列車的最高運行速度是鐵路現代化的標誌之一,是隨著科學技術進步和鐵路技術裝備改進而逐步提高的。
分類
機車車輛的限制速度
列車的最高速度受機車車輛構造速度的限制;在下坡道上的行車速度受制動裝置和制動距離的制約,稱為制動限速;在上坡道上速度受機車牽引功率的制約,不可能很高;內燃、蒸汽機車通過隧道時,最低速度不能低於規定值。
設計標準的限制速度
曲線限速公式為了保證旅客乘車的舒適度,曲線半徑對旅客列車的行車速度有所限制,稱為曲線限速,見圖。曲線限速單位為(km/h)。式中hsh為曲線外軌實設超高(mm);hQ為旅客舒適度的允許欠超高(mm);R為曲線半徑(m)。
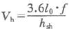
緩和曲線限速公式緩和曲線長度對旅客乘車舒適度也有影響,它的限制速度,見圖。式中lo為緩和曲線長度(m);f為旅客舒適度允許的超高時變率(mm/s)。夾直線和圓曲線線段長度對行車速度也有一定製約,以保證行車平穩。
雙線鐵路兩列車在區間交會時,會產生會車壓力波,可能會壓碎車窗玻璃,影響行車安全;會車壓力波的大小與線間距離、列車流線型化程度有關;實踐和理論計算表明,當線間距離為4.0m時,鈍形車頭的列車速度大於160km/h,流線型列車速度大於200km/h速度通過單線隧道時;以及常規列車速度大於120km/h,流線型列車速度大於160km/h,在雙線隧道內交會時,車廂內壓差變化速度均會引起旅客不舒適;或者限制速度或者加強客車的氣密性及在隧道洞口採取減緩壓力的措施。
雙線鐵路超限貨物列車與其他列車在區間交會時,會車速度不能超過規定值。
線路的限制速度
軌道結構與維修質量決定了線路的允許速度;旅客列車通過車站道岔時,最高速度又受道岔直向或側向過岔速度的限制。路基病害,橋樑老化破損以及平交道口都是速度的限制因素。
信號裝置的限制速度
自動閉塞三顯示的閉塞分區長度一般約1200m左右,旅客列車速度提高,司機在看到紅燈後不能在紅燈信號機前停車,因之可能要限制行車速度。當速度不大於120km/h時,三顯示自動閉塞可不限速行車;當速度達到140~160km/h,但行車量不大時,可約定列車到達黃燈信號機前,速度降低到規定值,以保證在前一閉塞分區的紅燈前停車,可暫不改建信號設備;當速度達到160km/h及以上時,信號應改裝為四顯示制式。
客貨列車速差
客貨列車最高速度的比值宜控制在0.6左右,旅客列車提速後速差過大,不但曲線上外軌超高不易恰當設定,引起輪軌磨耗加劇;並且在自動閉塞區段,會引起旅客列車扣除係數加大和貨物列車旅行速度降低。因之客貨列車提速最好同步實施。

