簡介
基本原理
利用化合物在溶解度或分配係數不同的兩種互不相溶(或微溶)的溶劑中,使化合物從一種溶劑內轉移到另外一種溶劑中。經過反覆多次分步萃取,將絕大部分的化合物提取出來。
分類
液-液分步萃取,用選定的溶劑分離液體混合物中某種組分,溶劑必須與被分步萃取的混合物液體不相溶,具有選擇性的溶解能力,而且必須有好的熱穩定性和化學穩定性,並有小的毒性和腐蝕性。如用苯分離煤焦油中的酚;用有機溶劑分離石油餾分中的烯烴;用CCl4分步萃取水中的Br2。
固-液分步萃取,也叫浸取,用溶劑分離固體混合物中的組分,如用水浸取甜菜中的糖類;用酒精浸取黃豆中的豆油以提高油產量;用水從中藥中浸取有效成分以製取流浸膏叫“滲瀝”或“浸瀝”。
雖然分步萃取經常被用在化學試驗中,但它的操作過程並不造成被分步萃取物質化學成分的改變(或說化學反應),所以分步萃取操作是一個物理過程。
作用
分步萃取是有機化學實驗室中用來提純和純化化合物的手段之一。通過分步萃取,能從固體或液體混合物中提取出所需要的化合物。這裡介紹常用的液-液分步萃取。
方法理論依據
物質對不同的溶劑有著不同的溶解度。同時,在兩種互不相溶的溶劑中,加入某種可溶性的物質時,它能分別溶解於兩種溶劑中,實驗證明,在一定溫度下,該化合物與此兩種溶劑不發生分解、電解、締合和溶劑化等作用時,此化合物在兩液層中之比是一個定值。不論所加物質的量是多少,都是如此。用公式表示:
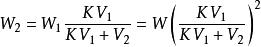
設在體積為V的溶液中含有溶質B的質量為W,一次加入體積為V的溶劑進行萃取,平衡時,原溶液中剩下的溶質的質量為W。分配平衡時,溶質在原溶液中的溶度為c,萃取液中的濃度為c
分步萃取
分步萃取
分步萃取
分步萃取即:
若再用V的溶劑進行第二次萃取,原溶液中剩下的溶質的質量為W
分步萃取用相同體積V的溶劑進行n次萃取,原溶液中剩下的溶質的質量為W
分步萃取n次萃取後,已萃取出的溶質的總質量W=W-W
分步萃取W
分步萃取上式可以計算出n次萃取後得到的物質量,或確定欲提取的物質量,計算萃取次數n。由於,因此萃取次數n越大,得到的萃取物W就越多。也就是說把溶劑分成數次作多次分步萃取比用全部量的溶劑作一次分步萃取為好。但應該注意,上面的公式適用於幾乎和水不相溶地溶劑,例如苯,四氯化碳等。而與水有少量互溶地溶劑乙醚等,上面公式只是近似的。但還是可以定性地指出預期的結果。
萃取設備
萃取設備的類型很多。分類的方法也個有不同標準。如按萃取設備的構造特點大體上可以分為三類:一是單件組合式,以混合-澄清器為典型,兩相間的混合依靠機械攪拌居多,操作方式既可間歇也可連續:二是塔式,如填料塔、篩板塔和轉盤塔等,兩相間的混合依靠密度差或加入機械能量造成的振盪,操作方式為連續式:三式離心式,依靠離心力造成兩相間分散接觸。
混合清澄器
混合清澄器是一種但見組合式萃取設備,每一級均由一混合器與一澄清器組成。原料液與萃取劑進入混合室在攪拌作用下使一相液體分散在另一相重,充分接觸後進入澄清器。在澄清器內由於兩液體的密度差使兩液相得以分層。
該萃取設備的優點使可根據需要靈活增減級數,既可連續操作也可間歇操作,級效率高,操作穩定,彈性打,結構簡單;缺點使動力消耗打,占地面積打。
塔式萃取設備
1、填料塔
在操作過程中,通過噴灑使分散相生成細小液滴;填料的作用可減少連續想的縱向返混及使液滴不斷破裂而更新。常用的填料由拉西環和弧鞍等,材料由陶瓷、塑膠和金屬,以易為連續相濕潤而不為分散相潤濕為宜。填料塔構造簡單,適用於腐蝕性液體,在工業中套用較多。
篩孔直徑一般為3~6mm,對界面張力較大的物系宜取小值;空間距為孔徑的3~4倍;塔板間距150~600mm.篩板萃取塔結構簡單,生產能力打,在工業上的套用廣泛。
2、篩板塔
輕液作為分散相從塔的底部進入,在篩板下方因福利作用通過篩孔而倍分散;液滴在兩板之間浮升並凝聚成輕液層,又通過上層篩板而被分散,依次直至塔頂聚集成輕液層後引出。作為連續相的重液則在篩板上方流過,與輕液液滴傳質後經溢流管流到下一層篩板,最後在塔的底段流出。
若選擇重液作為分散相,則需使塔身倒轉,即溢流管位於篩板之上作為輕液的升液管,重液則經過篩空而被分散。
3、轉盤塔
對於兩液相界面張力較大的物系,為改善塔內的傳質狀況,需要從外界輸入機械能來增大傳質面積和傳熱係數轉盤塔為其中之一,與1951年由Reman開發。沿塔內壁設定宜組等間距的固定員關,在中心軸上對應設定一組水平圓盤。當中心軸轉動時,因剪下應力的作用,一方面使連續相產生漩渦運動,另一方面促使分散相液滴變形、破裂更新,有效地增大傳質面積和提高傳質係數。轉盤塔的效率與轉盤轉速、轉盤直徑及環形隔板間距等有關,設計時通常取:
塔徑/轉盤直徑=1.5~2.5
塔徑/固定環內徑=1.3~1.6
塔徑/盤間距=2~8
轉盤塔具有較高的傳質效率,運轉可靠,也是一種套用相當廣泛的萃取設備。
離心式萃取設備
當兩液體的密度差很小(可至10kg/m)或界面張力甚小而易乳化或黏度很大時,僅依靠中立的作用難以使兩相見很好地混合或澄清。這是可以利用離心力地作用強化萃取過程,常用地離心萃取機之一為波特別尼亞克(Podbielniak)萃取相,與1934年發明。高速旋轉地轉子系由開有很多孔地長帶捲成,轉速約2000~5000r/min。操作時,重液導入轉子內層,輕液導入轉子外層,在離心力長地作用下,重液與輕液逆向流動,並通過帶上地小孔倍分散,最後重液和輕液分別從不同地通道引出。
離心萃取劑結構緊湊,處理能力打,能有效地強化萃取過程,特別使用與其他萃取設備難以處理的物系。缺點使結構複雜,造價高,能耗打,使其套用受到限制。

