分數
分數(來自拉丁語,“破碎”)代表整體的一部分,或更一般地,任何數量相等的部分。 當在日常英語中說話時,分數描述了一定大小的部分,例如半數,八分之五,四分之三。 分子和分母也用於不常見的分數,包括複合分數,複數分數和混合數字。
分數表示一個數是另一個數的幾分之幾,或一個事件與所有事件的比例。把單位“1”平均分成若干份,表示這樣的一份或幾份的數叫分數。分子在上,分母在下。
運算法則
1、同分母分數相加,分母不變,即分數單位不變,分子相加,能約分的要約分。
分數加法例1:
分數加法例2:
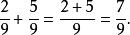
2.異分母分數相加,先通分,即運用分數的基本性質將異分母分數轉化為同分母分數,改變其分數單位而大小不變,再按同分母分數相加去計算,最後能約分的要約分。
分數加法例1:
分數加法例2:
3.帶分數相加,把各個加數中的整數部分相加所得的和作為和的整數部分,再把各個加數中的分數部分相加所得的和作為和的分數部分,若得的分數部分為假分數,要化為整數或帶分數,並將其整數再加入整數部分;或者把全部加數中的帶分數先化為假分數,再按分數加法的法則求和,然後將結果仍化為帶分數或整數。
4.每次加得的和,都要約分化成最簡分數;如果所得的和是假分數,要化成整數或帶分數。
歷史
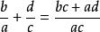
分數加法中國是世界上系統敘述分數運算最早的國家,《九章算數》第一章《方田》中,就有比較完整的分數計算方法,將分數加法稱為合分,其法則是:“母互乘子,並以為實,母相乘為法,實如法而一。”實即分子,法即分母,這段話譯為今文是:兩分數的分子與分母交換相乘加在一起作和的分子,而將相乘作和的分母,用現代的符號可寫為。
分數加法
分數加法
分數加法在國外最早建立分數加法運算的是魯多爾夫(Rudolff,C.),他在1530年發表的德文著作中,把加法運算寫成,得。他把公分母12寫在下面,相應的新分子寫在上面,相加得17/12,可見他已掌握了通分的方法。
歐洲直到17世紀,多數的書在計算分數相加時都不要求用最低公倍數。只有溫蓋特(Wingste,E.)所著初等算術課本給出了最小公分母的求法。
