基本介紹
分數減法指求兩個分數的差的運算,分數減法是分數加法的逆運算 。
分數減法的運算法則是:
1.同分母分數相減,分母不變,分子相減所得的差作為差的分子。
2.異分母分數相減,先通分,化為同分母的分數後,再按同分母的減法法則進行運算。
3.帶分數相減,先將各帶分數化為假分數,再通分化為同分母的分數,然後按同分母分數相減的法則進行運算,最後的差化為帶分數或整數。
4.差不是最簡分數時,要通過約分化為最簡分數 。
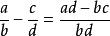
最早的分數減法運算見於中國古代的《九章算術》,該書稱分數減法為減分,其法則是:“母互乘子,以少減多,余為實,母相乘為法,實如法而一。”用現代的數學符號可表示為
分數減法分數減法的法則
在實際計算中,分數減法的法則有以下幾種情況 。
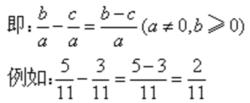
(1)同分母分數相減:分子相減的結果作為分子,原來的分母不變。
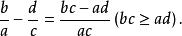
分數減法(2)異分母分數相減:先通分,然後按照同分母分數減法的法則進行計算。
分數減法即:(當b、d互質時)
例如:
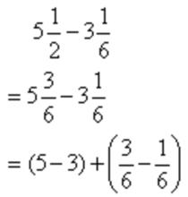
分數減法(3)帶分數相減:先把帶分數中的整數部分和分數部分分別相減,然後再把兩部分所得的數合併起來。如果被減數的分數部分小於減數的分數部分,就要從被減數的整數部分里拿出1(在連減時,也有需要拿出2的情況。)化成假分數,與原來被減數的分數部分加在一起,然後再減。
例如:
分數減法上述三種情況中,如果相減所得的差,不是最簡分數的,要約成最簡分數 。
例如:
分數減法分數減法的運算性質
整數減法的運算性質,也同樣適用於分數減法 。
分數減法套用分數減法的運算性質,可以使一些運算簡便 。
帶分數減整數時,用帶分數的整數部分減去整數,將所得的差與帶分數的分數部分合併在一起,就是最後的結果。
分數減法整數減帶分數時,用整數減去帶分數的整數部分,再減去帶分數的分數部分。通常是先將整數根據減數(帶分數)的情況,也化成帶分數,然後再相減 。

