概述
分布聚合性指數BIOX.CN時間:2006-9-5 來源:生命經緯
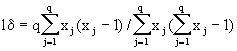
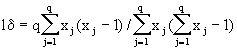
群體內個體集中方式(分布方式)的程度,一般稱為分布聚合程度(degree of aggregation)。根據每個區分內個體數的分布頻率提出各種指數作為其衡量尺度。(1)在某個區分內可以發現多少個體,由於分布方式與群體密度不同,因此同一區分內每個個體,表示其他個體平均數的平均密度m,便成為集合的一種尺度;(2)以隨機分布為標準,由此以多少表示或者集中分布或者均等分布這種集合的相對程度時,可以利用構成隨機分布模型的波氏分布平均值m與分散值σ2相等,並利用分散指數σ2/m作為指標的方法,歷來已曾廣泛實行。但是這種指數值在非隨機分布方面,往往有受到平均值影響的缺點。M.Morisita(1959)為了排除這種缺點,曾經提出Iδ值指數,並定義為: 如圖
說明
(q:區分數;xj:第j項區分內個體數)。在波氏分布,取值為1,在集中分布,取值大於1,在均等分布,則取小於1。Iδ是被提出作為對標本的統計量,但是後來作為有限、無限母集團值,而把上式q值改為母集團所含的總區分數Q所得的Iδ以及Q→∞時的Iδ極限值Iδ加以定義。Iδ形式上等於m/m。Iδ與m/m兩個指數在一定機率下從各個區分中即使隨機排除某些個體,然而其指數值仍然不變,在這種意義上,因為其平均值不受影響,所以表示各種分布方式相對集中性的指數,也是適宜的;(3)根據分布與密度之關係,對以某些生物種為特徵的空間利用方式,就有L.R.Taylor(1961)提出的冪乘積法則σ2=amb(a,b為常數)與S.Iwao (1968)提出的m=α+βm算式。Taylor主張,前者的b值表示特有種的集中程度,但其理論根據卻十分不足。相反,在後者,決定集中程度的兩個側面,即分布方式構成單位的大小(或者單獨個體或者複合個體的群體)以及此種構成單位的分布方式相對集中程度,均分別以α和β表示,而且與各種理論分布之關係,也是清楚的。

