傅立葉級數
法國數學家傅立葉發現,任何周期函式都可以用正弦函式和餘弦函式構成的無窮級數來表示(選擇正弦函式與餘弦函式作為基函式是因為它們是正交的),後世稱傅立葉級數為一種特殊的三角級數,根據歐拉公式,三角函式又能化成指數形式,也稱傅立葉級數為一種指數級數。
法國數學家J.-B.-J.傅立葉在研究偏微分方程的邊值問題時提出。從而極大地推動了偏微分方程理論的發展。在中國,程民德最早系統研究多元三角級數與多元傅立葉級數。他首先證明多元三角級數球形和的唯一性定理,並揭示了多元傅立葉級數的里斯- 博赫納球形平均的許多特性。傅立葉級數曾極大地推動了偏微分方程理論的發展。在數學物理以及工程中都具有重要的套用。
共軛複數
共軛在數學、物理、化學、地理等學科中都有出現。 本意:兩頭牛背上的架子稱為軛,軛使兩頭牛同步行走。共軛即為按一定的規律相配的一對。通俗點說就是孿生。在數學中有共軛複數、共軛根式、共軛雙曲線、共軛矩陣等。
共軛級數
共軛級數兩個實部相等,虛部互為相反數的複數互為 共軛複數(conjugate complex number)。(當虛部不等於0時也叫共軛虛數)複數z的共軛複數記作(z上加一橫,英文中可讀作Conjugate z,z conjugate or z bar),有時也可表示為。
共軛級數根據定義,若z=a+ib(a,b∈R),則=a-ib(a,b∈R)。在複平面上,共軛複數所對應的點關於實軸對稱。
共軛函式
亦稱對偶函式、極化函式。函式的某種對偶變換。設f為實線性空間X上的擴充實值函式。X*為X的某個對偶空間,即由X上的一些線性函式所構成的實空間。那么f的共軛函式f*是X*上的擴充實值函式,它定義為:
f*(x*)=sup{〈x*,x〉-f(x)}.
通常,這裡的X為實巴拿赫空間或更簡單的有限維空間R,而X*為X的對偶空間,或相應的Rn。這時,共軛函式總是下半連續凸函式。f的二次共軛函式則定義為:
f**(x)=sup{〈x*,x〉-f*(x*)}.
它也總是下半連續函式。芬切爾-莫羅定理斷言,f=f若且唯若f是下半連續凸函式。這同時也肯定了:每個下半連續凸函式總是仿射函式族的上包絡。共軛函式的概念在研究極值問題的對偶理論中起著本質作用。
19世紀,法國數學家勒讓德(Legendre,A.-M.)首先在力學中引進類似的概念,那是把速度變為動量的變換。對於力學方程來說,這就使得拉格朗日方程變為哈密頓方程。今天,人們就稱這樣的變換為勒讓德變換。勒讓德變換的概念實際上出現得比對偶空間或共軛空間的概念還要早。應該說,後一概念的起源之一就是勒讓德變換.20世紀50年代,芬切爾(Fenchel,W.)又把勒讓德變換進一步抽象為共軛函式的概念。因此,今天人們又把函式到其共軛函式的變換稱為勒讓德-芬切爾變換。
共軛級數詳細定義
共軛級數
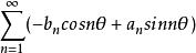
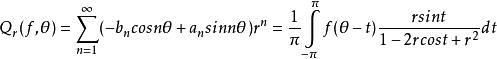
共軛級數共軛級數(conjugate series)一類三角級數。設一元函式的傅立葉級數的泊松平均是解析函式:
共軛級數
共軛級數
共軛級數
共軛級數其中:,的實部。把F(z)的虛部記為:
共軛級數
共軛級數
共軛級數
共軛級數
共軛級數
共軛級數那么與作為,的實、虛部的二元函式是彼此共扼的調和函式(在的區域內)。相應於這個事實,稱級數
共軛級數為a(f)的共扼級數,亦稱f的共扼級數,記為a(f)一般地,a(f)不必是某個可積函式的傅立葉級數。
