定義
共軛根式
共軛根式
共軛根式
共軛根式所謂共軛根式,是指兩個不等於零的根式A、B,若它們的積AB不含根式,則稱A、B互為 共軛根式。例如 與 , 與 等。
共軛根式的一個顯著特點是通過相乘能把根號去掉,這是很有幫助的。
常用的共軛根式
下面是幾對中學階段常用的共軛根式:
共軛根式
共軛根式1.若 ,則
共軛根式
共軛根式2.若 ,則
共軛根式
共軛根式
共軛根式3.若 ,則 ,其中
共軛根式
共軛根式4.若 ,則
共軛根式
共軛根式註:在2、3、4中,若根號前有係數,也可類似地寫出共軛根式。以2為例,若 ,則
共軛根式
共軛根式
共軛根式
共軛根式
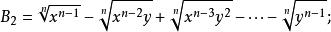
共軛根式
共軛根式5.若 ,則 當n為偶數時,若 ,則 當n為奇數時,若 ,則
套用
有理化分母
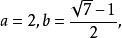
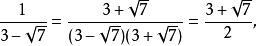
例1 設1/(3-√7)的整數部分是a,小數部分是b,求a2+(1+√7)ab的值。
解:因為
共軛根式而
共軛根式所以
共軛根式故
共軛根式有理化分子
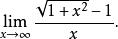
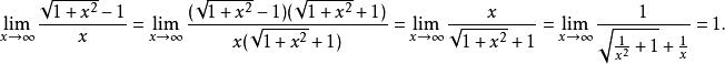
共軛根式例2 求
解:
共軛根式