兩角和(差)公式
正弦公式
兩角和公式餘弦公式
兩角和公式正切公式
兩角和公式以上三式被稱為兩角和(差)的三角函式公式。
公式證明
如圖,為半徑為1的單位圓。
兩角和公式根據餘弦定理:
兩角和公式根據勾股定理:
兩角和公式又
兩角和公式
兩角和公式
兩角和公式
兩角和公式
兩角和公式
兩角和公式即
兩角和公式且
兩角和公式
兩角和公式
兩角和公式
兩角和公式
兩角和公式化簡後,即
兩角和公式聯立(1)(2),知
兩角和公式此即兩角差的餘弦公式。
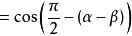
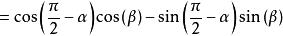
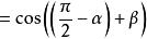
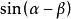
根據誘導公式可知:
兩角和公式
兩角和公式
兩角和公式
兩角和公式
兩角和公式此即兩角差的正弦公式。
將前兩式相除,即得對應的正切公式。
證畢。

