增加的量遵循如下規律:
內稟質量
內稟質量
內稟質量
內稟質量
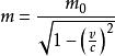
內稟質量為物質的質量,即為內稟質量,為真空中的光速,取值為。
內稟質量
內稟質量
內稟質量當、、均為已知時,可以求出物質在宇宙中的絕對速度
內稟質量內稟質量是指物質的質量隨運動的速度增加而增加。
增加的量遵循如下規律:
內稟質量
內稟質量
內稟質量
內稟質量
內稟質量為物質的質量,即為內稟質量,為真空中的光速,取值為。
內稟質量
內稟質量
內稟質量當、、均為已知時,可以求出物質在宇宙中的絕對速度
內稟質量一、西部地區經濟發展模式轉型的必然性 二、西部地區經濟發展模式轉型的內容 三、資源型經濟轉型發展階段的判斷
圖書信息 作者簡介 內容簡介 目錄, 為勢能。許多基本粒子,例如電子,都具有內稟磁矩。這種內稟磁矩是許多...,而是和粒子的自旋有關,必須用量子力學來解釋。這些內稟磁矩是量子化的,最小...的基本粒子會因自旋而產生磁矩。每一種基本粒子的內稟磁矩的大小都是常數,可以用...
概述 計算公式 兩種磁源 定義 各類磁矩以太。以太具有許多特殊的性質:不具有質量;它無處不在,充滿整個宇宙...
序 言 第一節 物質觀發展簡史 第二節 系統相對論的基本假設 第三節 物質概論熟知的重力場。引力場是唯一一種對於任何物體都起作用的力場,它源於物體的質量, 質量愈大, 引力就愈大。引力為長程力。物體之間的引力由牛頓...描述基本粒子之間電磁相互作用的理論。強作用力:強作用力存在於原子核內...
歷史 理論特點 理論概述 數學結構 小結胞”(一個更大層次上生態環境體)的認識和發現 (九) “太陽系胞”內...迷 (用生態和系胞觀) (十五) 太陽中心的壓力和質量程度是不是比太陽...
) 對“太陽系胞”(一個更大層次上生態環境體)的認識和發現 (九) “太陽系胞”內...與解迷 (用生態和系胞觀) (十五) 太陽中心的壓力和質量程度是不是比太陽...
關鍵字 與 前言 本書目錄《上帝擲骰子嗎》 摘要 愛因斯坦:「一個人的價值,應該看他貢獻了什麼,而不是他取得了什麼。」 愛因斯坦說:「我不相信上帝是靠擲骰...
《上帝擲骰子嗎》 序 第一章 黃金時代 第二章 烏雲 第三章 火流星、特稟質,每種體質有其獨自的特徵。平和質(A型)總體特徵:陰陽氣血調和...;不適應陰雨天氣。特稟質(I型)總體特徵:先天失常,以生理缺陷、過敏反應...個體生長發育及相關疾病特徵。心理特徵:隨稟質不同情況各異。發病傾向:過敏...
轉準住澳試問有此是非倒置之理乎爾稟內稱欽遵大清律例而不違本國制度此語尚無...多言因爾具稟懇求姑結此理明白宣示並使爾國眾人鹹知所以封港之故可也。為札飭傳諭事:十月十六日據該府轉據洋行總商稟繳呂宋國夷人哥耶拿夷稟一件並附黏...
著者 朝代 內容選讀