簡介
克勞修斯積分克勞修斯積分是用於任意多熱源循環吸熱和放熱過程的熱量與相應熱源溫度之比的總和,即 。上式中的積分稱為克勞修斯積分。
克勞修斯定理
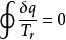
克勞修斯積分等式
克勞修斯是最早研究熵的科學家之一,而且為此物理量命名。克勞修斯想要找到熵和系統中熱量流動之間的比例關係。在一熱力學循環中,系統的熱可以轉換為功,而功也可以轉換為熱。克勞修斯認為:熱力學循環中所有轉換的代數和只能是正值,在一些特殊的情形下會是零。轉言之,對於所有循環且可逆的過程,下式恆成立:
克勞修斯積分
克勞修斯積分其中, 為由系統轉移到熱庫的熱(注意其正負號定義恰與上式相反);T為系統的絕對溫度。
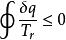
克勞修斯積分不等式
克勞修斯不等式可表示為:
克勞修斯積分該式說明,任意不可逆循環中吸熱和放熱過程的熱量與相應熱源溫度之比的積分小於零。

