相對摺射率差
折射率:
(1)定義或解釋
光在兩種(各向同性)媒質中速度的比值叫做折射率。
(2)說明
①n=v1/v2表明光由第一媒質進入第二媒質後它們速度的比。這叫做第二媒質相對於第一媒質的折射率,又叫相對摺射率。②媒質相對真空的折射率叫做絕對摺射率。由於光在真空中傳播速度為最大,所以媒質的絕對摺射率總是大於1。③同一媒質中不同波長(或頻率)的光,具有不同的折射率。波長越短(頻率越高),則折射率越大。這可用複色光經稜鏡後發生的色散現象來加以說明。光通過稜鏡而偏折,其最小偏向角和折射率之間的關係是 n=sin[(α+δmin)/2]/sin(α/2)。 α為稜角,δmin為最小偏向角。從該式中看出偏向角變大,則n也增大。其次,從正常色散現象知道頻率越高的光,其偏向角越大,那么同一媒質中頻率越高,其偏向角越大,又因偏向角越大,對應n也越大,所以折射率將隨波長減小(頻率增大)而增大。 ④一般講的折射率數值都是指對鈉黃光(5893埃)的折射率。⑤光從某媒質進入另一媒質時,由於傳播速度變化會引起波長變化,但它的頻率是不變的
折射率差:
又叫雙折射率 是指兩種中級晶族或低級晶族的晶質物質的不同方向的折射率的差值
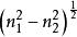
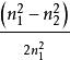
光纖光學特性參數相對摺射率差,表示纖芯的最大折射率n1與包層的折射率n2的差異程度的參數。其值的大小用△來表示,△= ,
△的大小表明光纖中把光封閉在纖芯里傳輸的難易程度。△越大,越容易把光封閉在纖芯里,有利於減小光纖的彎曲損耗。但是大的△會使光纖的頻寬降低或色散增大,通常以百分比表示。多模光纖的△約為1%,單模光纖則更小。△很小的光纖稱為弱導光纖。△可以近似表示為△≈
折射率分布係數
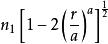
光纖光學特性參數當光纖纖芯的折射率為指數(冪)律分布時,其數學表達式為
光纖光學特性參數n(r)=,0<r≤a,
式中a為纖芯半徑;r是從纖芯軸心沿半徑方向的一個變數;稱為折射率分布係數,簡稱分布指數,或分布參數。
α=1時,纖芯的折射率分布為三角形,α=2表示拋物型折射率分布,α為無窮大時就成為突變型分布。α的變化影響光纖的傳輸特性。理論和實驗均證明α約為2時,多模光纖的模間色散最小,頻寬最高。
梯度折射率透鏡
又稱變折射率透鏡或非均勻介質透鏡,通常簡稱梯析(GRIN)透鏡。這是使用具有梯度折射率的介質設計和製造的光學成像元件。可製作梯折透鏡的梯折材料可分: ①軸向梯度。折射率沿軸向變化,等折射率面是垂直於光軸的平行平面系。一個具有軸向梯度的球面元件等效於一個均勻介質的非球面透鏡。
②徑向梯度。折射率沿徑向變化,等折射率面是中心軸對稱的圓柱面系。其中圓柱端面垂直於軸者稱伍德透鏡,1905年由R.W.伍德製得,其作用如同會聚(發散)透鏡。用正一倍放大率的伍德透鏡組成的陣列,已用作商品化的光學複印機的光學組件,它大大縮小了複印機的體積,也提高了光照的均勻性。
③層狀梯度。折射率沿垂直於含光軸的某一平面變化,等折射率面是平行於光軸的平面系,其梯度平板具有類似柱面透鏡的作用,光束在梯度方向上具有會聚(發散)作用。若折射率二次方作線性變化,則具有類似稜鏡的作用。
④球梯度。折射率按離定點的距離變化,等折射率面為中心點對稱的球面系。大氣層近似這種梯度;1854年提出的麥克斯韋魚眼和1944年提出的盧內堡透鏡皆屬此類。前者是一個理想成像的絕對儀器,後者由於能寬角度掃描而用於徽波天線方面。
此外,還有等折射率面為拋物面系的拋物線梯度、等折射率面是中心軸對稱的圓錐面系的錐狀梯度等。昆蟲眼睛就近似於拋物線梯度的情形。梯度元件因形小體輕,結構簡單,可用作皮下組織顯徽鏡、內窺鏡、攝影物鏡、施密特校正板等光學元件,尤宜於用作航天、彈載儀器的光學組件。梯折透鏡自1969年用離子擴散技術制出自聚焦元件以來,各種製作技術陸續產生,為梯折透鏡設計和製造提供了各種材料,隨著製造技術的改進,其前景令人鼓舞。
數值孔徑
衡量光纖集光能力的參數,是描述光纖光學特性非常有用的參數。記為NA。
光纖光學特性參數
光纖光學特性參數
光纖光學特性參數光纖的數值孔徑是以子午光線(包含在光纖中心軸平面即子午面內的光射線)來描述其定義的。嚴格的數學定義為NA=nsin,式中為在一定點能進入或離開光纖的子午光線的最大錐體的半頂角,n為該點所在介質的折射率。一般可按最大理論數值孔徑計算NA=Δ。
突變型折射率分布的光纖,其數值孔徑就是最大理論數值孔徑。
漸變型折射率分布光纖的纖芯折射率n(r)是徑向坐標的函式,光線射入光纖端面不同點時,其數值孔徑亦不同。定義漸變型光纖中子午光線的局部數值孔徑為
光纖光學特性參數NA(r)= ,NA(r)越大,該點捕捉光線的能力越強。為使光線有效地入射到光纖內,所採用的透鏡系統的數值孔徑應儘可能與光纖的數值孔徑匹配;為減小不同光纖接續時的損耗,應使數值孔徑儘可能一致。大的數值孔徑有利於提高光源與光纖的耦合效率並減小光纖彎曲時的附加損耗。但數值孔徑過大,會使光纖的色散增大或頻寬降低。選其最佳值要兼顧幾個方面,並取決於光纖套用的具體要求。
數值孔徑是光纖的非常重要參數之一,它體現了光纖與光源之間的耦合效率。
光源與光纖端面間存在空氣隙,入射到光纖端面的光只有一部分能進入光纖,而進入光纖端面內的光也只有部分符合特定條件的光才能在光纖中發生全內反射而傳播。由圖可知,只有從空氣隙到光纖端面以入射角小於 q0入射的光線才能傳播。q0 實際上是個空間角,也就是說如果光從一個限制在2q0 的錐形區域中入射到光纖端面上,則光可被光纖捕捉。
