術語解釋
頂角很小(一般小於1/10弧度)的稜鏡,就叫作光楔,又叫楔鏡。在光線垂直或接近垂直射入光楔時,偏向角θ=(n-1)A。其中n為光楔介質的折射率。因此產生的偏折很小,且與入射角無關。光學儀器中常將兩光楔組合在一起,使二者相對轉動以產生不同的偏向角,或把光線的最小偏向角轉換為兩光楔的相對轉角,用來補償測量光線的小角度偏差,在軍用測距儀、照像機取景器等許多光學儀器中都有套用。
折射稜鏡
定義
利用表面的折射作用,工作面為兩個折射面,叫做折射稜鏡。
光楔偏向角
基本公式如下:
光楔
光楔
光楔
光楔
光楔
光楔
光楔
光楔
光楔對於給定的稜鏡,α和n為定值,所以由上式可知,偏向角只與有關。可以證明,當或時,其偏向角最小。上式可寫為
光楔最大頂角
當第一折射表面入射角I1小到某一數值時,光線在第二表面的入射角可能大於臨界角而發生全反射,在第二表面上無出射光線,光線反射到第三表面上去了
光楔
光楔只有入射角大於的光線才能通過稜鏡折射。
當入射光線和出射光線都分別同兩個折射面平行時,對應著稜鏡的最大頂角。
光楔所以,當時,將沒有光通過稜鏡。
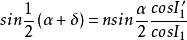
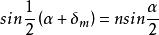
最小偏向角
光楔
光楔
光楔
光楔只是的函式,並且存在一最小值,即最小偏向角。
光楔
光楔
光楔
光楔或。
光楔
光楔即在的情況下,光線的路徑是對稱的。
套用
光楔通過測量來計算材料的折射率n
將被測玻璃作成稜鏡,頂角α取60°左右,然後用測角儀測出角α的精確值。當測得最小偏向角後,即可用上式求得被測稜鏡的折射率
光楔在各種分光計和單色儀中都有廣泛套用。
光楔折射角α很小很小,α→0 ,稜鏡→平板,
α很小,為光楔。
概念引出
光楔
光楔(1)有一定大小,。
光楔
光楔
光楔
光楔(2)很小。
當光線垂直或近於垂直射入光楔時,其所產生的偏向角僅和n、α有關,光楔的最小偏向角。
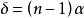
光楔組合
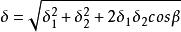
光學儀器中,常利用兩個光楔的組合,使它們分別繞一公共軸心旋轉,用以產生不同的偏向角,構成“可變折光本領”稜鏡。合成折光本領為:
光楔
光楔這裡,為兩個光楔之間的夾角。
光楔當時,
光楔光楔是光學系統中對光線小角度偏折的元件,通常一對光楔配對使用,分別旋轉兩個光楔,可以使出射光線位於一個以入射光為軸線的角錐體內的任意方向上 。
特殊套用
光楔
光楔
光楔
光楔
光楔
光楔作用
(1)測小角度偏差
(2)光路偏折和補償作用
(3)測微小位移
光楔
光楔將雙光楔產生的微小偏向角δ轉換為兩光楔間相對較大的旋轉角度。
測微系統
可將垂軸方向的微小位移Δy轉換為沿軸方向的大位移Δz。
光楔出射光線相對於入射光線在垂軸方向產生的平移為:
光楔
