
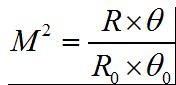
θ為實際光束的遠場發散角,θ0為基膜高斯光束的遠場發散角。
光束質量因子為1時,具有最好的光束質量。
光束質量因子,是雷射光束質量的評估和控制理論基礎。

常用的光束質量的定義包括: 遠場光斑半徑、遠場發散角、衍射極限倍數 U 、斯特列爾比、 M2 因子、靶面上的功率或環圍能量比等。
評價高能雷射光束的局限性 高能雷射系統的組成 高能雷射系統光束質量的評價方法雷射光束質量是雷射器的一個重要技術指標,是從質的方面來評價雷射的特性。但是,較長時期以來,對光束質量一直沒有確切的定義,也未建立標準的測量方法,對科研和...
評價方法-原衍射極限倍數因子 評價方法-環圍能量比 評價方法-M因子《雷射光束質量評價概論》是一本書籍,作者是康小平,何伸,2007-6-1由上海科學技術文獻出版社出版,該書定價:¥35.00元。
內容提要 目錄《製造用雷射光束質量傳輸質量與聚焦質量》是2008年10月1日科學出版社出版的書籍。
圖書信息 內容簡介 目錄會聚成非常小的點的可能性更小。如果用因子M來表征光束質量,那么半發散角為...光束髮散角遠大於物理上決定的發散角,那么光束就具有很差的光束質量。光束髮散...質量下降。高斯光束的發散角和質量較差的光束 發散角 對於衍射極限的高斯光束...
簡介 光束髮散角的定量表示 高斯光束的發散角和質量較差的光束 空間傅立葉變換光譜、光聲與真空紫外圓二色光譜、光譜輻射標準與計量等15條光束線和相應...實驗室做實驗的用戶越來越多,涉及的領域也越來越廣,用戶對光源質量的要求...穩定性的基礎上,新建波盪器插入元件,增建8條光束線和8個實驗站,以適應...
項目規模 項目功能 批准立項 工程進展 學科方向光束質量板條固體雷射器的研究”獲四川省科技進步獎三等獎(8)1997年...。首次提出了雷射大氣傳輸的二階矩傳輸理論及光束傳輸因子理論,給出了部分...角、光束傳輸因子、曲率半徑等光束特徵參數在大氣湍流中的傳輸規律,定量分析...
教育背景 學術任職 人才培養 科研成就 學術著作數值孔徑NA為0.15,光束質量因子M2 1.2,斜效率為65.2%,遠...芯光纖進行試驗,輸出功率超過100 W,遠場光束質量因子為 ...類物質。光纖雷射器與其他雷射器相比具有光束質量高、泵浦效率高、穩定性強...
1高功率光纖雷射器的研究現狀 2概述 3多芯光纖的製作 4多芯光纖中的超模·格雷的回歸,雷射眼和一些已退休的隊友組建了X-FACTOR(X因子...戰警與X因子匯合。在80到90年代,還湧現了許多變種人為主的隊伍:澤維爾...殺害;疑似死亡獨眼龍/鐳射眼Cyclops斯科特·薩默斯X戰警隊長X因子...
作品起源 主要成員 成員介紹 劇情介紹 相關信息