空速種類
飛機相對於空氣運動的速度叫做空速,常用單位有:km/h、n mile/h(即節,kn)。它們 之間的轉換關係為:1n mile/h(kn) = 1.852km/h。
空速的大小是根據相對氣流流速與動壓的關係,通過空速表測量出來的,因而帶有一定 的誤差,主要有機械誤差、空氣動力誤差、空氣壓縮性修正量誤差和密度誤差等。根據誤差 來源可以將空速分為以下幾種:
(1) 儀表空速(BAS):簡稱錶速,是儀表空速表根據海平面標準大氣條件下相對氣流流 速與動壓之間的關係所測定的空速。
(2) 修正空速(CAS):在錶速的基礎上修正機械誤差得到的空速叫做修正空速。
(3) 指示空速(IAS):對修正空速進行空氣動力誤差修正後得到的空速,叫做指示空速。
(4) 當量空速(EAS):在指示空速的基礎上,經過修正空氣壓縮性修正量誤差後得到 當量空速。
(5) 真空速(TAS):當量空速經過密度誤差修正後的空速稱為真空速。真空速是飛機 相對空氣運動的真實速度。領航計箅時所用的空速是真空速。
此外,常用的空速還有馬赫數(Ma),它是指飛機的飛行速度與當時大氣(即一定的高 度、溫度和大氣密度)中的音速之比,空速是通過空速表進行測量得到的。
修正原理
修正空速空速表因構造不完善產生的誤差叫機械誤差(△V);機械誤差也叫儀表誤差,是膜盒、傳動機件等製造不精良及使用中的磨損所引起的誤差。每一架飛機的空速表的機械誤差都不相同,由維護飛機的儀表員定期調節和校驗,將剩餘的機械誤差繪製成曲線或以表格的形式,放置在座艙邊壁處,供該架飛機在修正機械誤差時查用。如圖2.24所示。
空速表少指,誤差為正;空速表多指,誤差為負。當按照錶速查取機械誤差後,可以計算校正空速:
CAS=BAS+△V
例如,某機的錶速300kn,在該機的機械誤差表中,查取機械誤差為+1 kn,那么校正空速為:
CAS=BAS+△V=300+(+1)=301(kn)
空速測量
指示空速表
修正空速指示空速是由指示空速表測量得到,指示空速表是根據開口膜盒在動壓的作用下產生變形,帶動指針來指示錶速。指針的轉角完全取決於動壓的大小,即指示空速的大小。空速 大,動壓大,儀表指示大;反之,指示小。由此可見,指示空速表是根據海平面標準大氣條件 下,空速與動壓的關係,利用開口膜盒測動壓,從而測定指示空速。其工作原理如圖3.1所示。
真空速表
修正空速真空速是通過真空速表測量得到的。真空速表是在標準大氣條件下,利用真空速與動 壓、靜壓之間的關係,通過真空膜盒和開口膜盒分別隨靜壓和動壓的變化,來指示飛機的真 空速。動壓增大時,開口膜盒膨脹,使指針轉角增大;靜壓減小時,真空膜盒膨脹,支點向右 移動,傳動比增大,也使指針轉角增大。這種真空速表沒有感受氣溫的感測部分,當外界實 際氣溫不等於標準氣溫時,將出現氣溫方法誤差。
圖3.2(a)、(b)所示兩種空速表的指示部分由指針和刻度盤組成。該類空速表的刻度 盤上塗有不同的顏色標記以代表不同飛行階段的速度限制範圍和各種極限速度。
馬赫數表
修正空速真空速與飛機所在高度的音速之比稱為馬赫數(Ma)。當飛機Ma數超過臨界數 時,飛機的空氣動力特性發生顯著的變化,飛機的安全性、操控性將出現一系列的變化。此 外飛行員根據指示空速表也不能判斷飛機所受空氣動力的情況,而必須測量Ma 數。圖3. 3所示為馬赫數表的盤面。
修正空速計算
根據定義可知,在海平麵條件下,P=P,V=V,由此可分別求得亞聲速和超聲速時的修正控訴V。
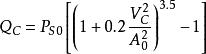
1、亞聲速(VA)
修正空速
修正空速
修正空速通過對內部因式進行二項式展開,並利用,可以得出Q和V的近似表達式:
修正空速
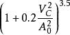
修正空速當VC=A0(661.5kn)時,上式的誤差約為1.25%。必須注意的是,計算修正空速時要用精確公式,而近似表達式可用來分析增加空速或馬赫數的影響。在低空速時,動壓。
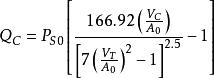
2、超聲速(V>A)
修正空速概述圖表示了在VC≤A0和VC>A0時,動壓QC與修正空速VC之間的關係。
注意:修正空速為51.5m/s(100kn)時的低動壓為16.3mbar。當修正空速為412m/s(800kn),對應的高動壓為1456mbar,海平面的馬赫數大約為1.2。

