中文名稱:指示空速
英文名稱:indicated airspeed
縮寫形式為(IAS),用符號Vi表示。
其他名稱:錶速
分類:飛機上所用的常用速度有4種:指示空速(IAS),真空速(TAS),地速(GS),馬赫數(Mach).
指示空速:飛機和空氣相對的速度,也是空速表上顯示的速度,有時簡稱為"錶速""空速".
飛機上所用的常用速度有4種:指示空速(IAS),真空速(TAS),地速(GS),馬赫數(Mach).
指示空速:飛機和空氣相對的速度,也是空速表上顯示的速度,有時簡稱為"錶速""空速".
真空速:經氣壓換算成海平面高度的指示空速.
地速:飛機相對地面的速度.可以通過地面導航台、GPS等測得。
馬赫數:真空速和音速的比值.
錶速和真速的數值是不同的,主要原因是飛機空速管並不能測出飛機的飛行速度,而只能測量出q=0.5*ro*v*v(其中ro是空氣密度,v是飛機相對於空氣的速度),然後用q除以密度ro再除以0.5,將結果開方(通過電路或機構實現)即可得到飛行速度。但除以密度時只能用海平面的密度值,而空氣密度隨著高度升高在減小,所以錶速(儀表顯示的速度)就和真速不一致,比真速要小,高度越高,差別越大。
在無風的狀態下,真速和地速是一致的;有風的情況下,真速和地速是不一致的,真速和風速之和(矢量和)等於地速。注意這種情況僅適用於平飛,如果你是在爬升或者下降狀態,無風時地速不等於真速,種情況下地速只等於飛機真速的水平分量。
舉例:一架飛機以相對地面速度為200M\S的速度向北水平飛行,這時飛機的地速為200M\S.若此時刮20M\S的正北風,則指示空速即錶速為20+200=220M\S.此時海平面的聲速為340M\S,所以馬赫數為200\340=0.59
定義:
詳細解釋:
飛行中的動壓與飛行安全有著非常重要的關係。例如,飛機的升力就與動壓成正比。在“動壓”這一詞條中,
Pd = ρ*V*V*1/2, 其中:ρ為大氣密度,V為飛行速度(真空速)
這是在不考慮空氣壓縮性時情況。
當按海平面標準大氣條件下(760毫米水銀柱,氣溫零上15攝氏度)時,其密度為Pd ,這樣,
指示空速式中的Pd是動壓。由此得到的速度就是指示空速。
它實際表示的是飛行器空氣動力的大小,是關乎飛行安全的最重要的飛行數據之一。所以飛機上專門有一塊儀表(或組合儀表中的一個),用來指示它,所以指示空速又稱為錶速。
下圖就是一個典型的組合空速表,其中的粗指針指示的就是指示空速,而細指針指示真空速。
作用條件
指示空速但是有一個問題,由於飛機的巡航高度通常在海拔5000米以上。而你知道,一般來說海拔越高的環境空氣越稀薄,也就是說每個單位體積內所含有的空氣越少。這樣就導致了隨著飛機的爬升,空氣逐漸稀薄,在與空氣的相對速度不變的情況下,撞擊空速管的空氣變少,因此撞擊空速管的壓力也就降低。而這導致了空速管測量到的空速偏低。這種情況下即使飛機本身與空氣的相對速度很快,但是空速計的指示仍然較低,與實際空速存在一定偏差。因此人們把這個速度叫做飛機的指示空速,通常用節表示。
就字面意思而言,所謂指示空速就是空速計所指示出的空速,並不是飛機實際的空速。
測量原理
指示空速表的基本原理圖指示空速是根據空速與動壓的關係,利用開口膜盒測量動壓來表示空速的。下圖是指示空速表的基本原理圖。飛機上安裝一個空速管,用以感受飛機在飛行時氣流產生的動壓和大氣的靜壓,分別用導管與空速表的全壓和靜壓管接頭相連。空速表內有一個開口膜盒,其內腔通全壓,表殼通靜壓。膜盒內外壓力差反應動壓的大小。在靜壓和氣溫一定的條件下,動壓的大小完全取決於空速。指示空速表就是根據海平面標準大氣壓條件下,空速與動壓的關係設計製造的。
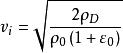
真空速與動壓的關係為
指示空速式中
指示空速——真空速
指示空速——動壓
指示空速——飛機所在高度上的空氣密度
指示空速——h高度上的空氣壓縮修正量
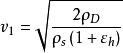
指示空速與動壓的關係式:
指示空速式中
指示空速——指示空速
指示空速——海平面標準大氣條件下的空氣密度
指示空速——海平面標準大氣條件下空氣壓縮行修正量
指示空速與真空速的關係為
指示空速基於上式,可以由指示空速求出真空速。由指示空速小於真空速,高度越高,誤差越大。
這種誤差叫做指示空速的方法誤差,對於指示空速表只能通過計算加以修正;而對於真空速表是利用測量靜差、氣溫和動壓的大小來自動修正指示出真空速。
所屬學科:
航空科技(一級學科) ;飛行、飛行試驗與測試技術(二級學科)

