理論
伯恩賽德引理
伯恩賽德引理
伯恩賽德引理
伯恩賽德引理
伯恩賽德引理
伯恩賽德引理
伯恩賽德引理
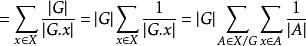
伯恩賽德引理設 是一個有限群,作用在集合 上。對每個 屬於 令 表示 中在 作用下的不動元素。伯恩賽德引理斷言軌道數(記作)由如下公式給出:[2]
伯恩賽德引理從而軌道數(是一個自然數或無窮)等於被 G 中一個元素保持不動的點個數的平均值(故同樣是自然數或無窮)。
證明
定理的證明利用軌道-中心化子定理以及 X 是軌道的不交並的事實:
伯恩賽德引理
伯恩賽德引理
伯恩賽德引理歷史
威廉·伯恩賽德在他1897年關於有限群的書中陳述並證明了這個引理,將其歸於 弗羅貝尼烏斯 1887。不過在弗羅貝尼烏斯以前,這個公式在1845年已經為柯西所知。事實上,這個引理明顯如此有名,伯恩賽德不過忽略了將其歸於柯西。因此,這個引理有時候也稱為不是伯恩賽德的引理 。這可能看起來不那么有歧義,伯恩賽德對這個領域貢獻了許多引理。
套用舉例
使用三種顏色對立方體的面染色,旋轉後相同的視為一種,染色方式總數可以由這個公式確定。
選取一個定向,設 X 是這個定向立方體所有 36 種可能面染色組合,立方體的旋轉群自然作用在 X 上。則 X 的兩個元素屬於同一軌道恰好是一個是另一個的旋轉。旋轉不同的染色數就是軌道數,可以通過數 G 的 24 個元素的不動集合的大小求出來
伯恩賽德引理一個恆同元素保持 X 的所有 個元素不變。
伯恩賽德引理六個 90 度面旋轉,每一個保持 X 的 個元素不變。
伯恩賽德引理三個 180 度面旋轉,每一個保持 X 的 個元素不變。
伯恩賽德引理八個 120 度頂點旋轉,每一個保持 X 的 個元素不變。
伯恩賽德引理六個 180 度邊旋轉,每一個保持 X 的 個元素不變。
這樣,平均不動集合的大小是
伯恩賽德引理從而有 57 種旋轉不同的立方體面 3 色染色方式。一般地,使用 n 種顏色,立方體不同的旋轉面染色數是
伯恩賽德引理
立方體染色
