基本介紹
項鍊問題是一種圓排列問題,用r種不同顏色的珠子穿成項鍊,求所有不同的項鍊數。這個問題稱為項鍊問題。項鍊問題應解釋為第二種雙繞向圓排列。項鍊的珠子可以從r種顏色中允許重複任取n個,亦可以限定第i種顏色取b(i=1,2,…,r)個,
項鍊問題從而構成兩類不同問題(參見下文“圓排列”) 。
兩類項鍊問題的解
兩類項鍊問題的解如下:
1r種顏色珠子中允許重複任取n個所成不同的項鍊數
項鍊問題
項鍊問題這裡(k,x)表示k,x的最大公約數。
2.限定第i種顏色珠子取b個,i=1,2,…,r,
項鍊問題所成不同的項鍊數,可分下列各種情形計算:若
項鍊問題則當b中只有一例如b奇數,項鍊數
項鍊問題
項鍊問題當b中奇數多於一個時,
項鍊問題
項鍊問題
項鍊問題
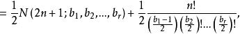
項鍊問題若b=2n,則當b全為偶數時,項鍊數
項鍊問題當b中恰有兩奇數,例如b,b為奇數,則
項鍊問題
項鍊問題當b中奇數多於兩個時,
項鍊問題以上式中的N(2n+1;b,b,…,b)和N(2n;b,b,…,b)為第二類手鐲數(參見“手鐲問題”) 。
圓排列
圓排列(circular permutation)是一類重要的排列,把若干元排列在圓周上,就構成了一個圓排列,這裡並不指定圓周上哪一個位置上的元處於首位,因此圓排列與線排列不同。
有兩種不同的圓排列:
第一種稱為單繞向圓排列:對圓周上元的排列順序,順時針與反時針視為不同,典型問題為手鐲問題。例如圓排列依順時針繞向有abcd,bcda,cdab,dabc,這四種(線)排列都表示同一個單繞向圓排列;但依反時針繞向有adcb,dcba,cbad,badc,則表示與前者相異的一個單繞向圓排列,用群的觀點說,這是在循環群作用下保持不變的圓排列。
第二種稱為雙繞向圓排列:對圓周上元的排列順序,順時針與反時針視為相同,典型問題為項鍊問題。如上例中八種(線)排列都表示同一個雙繞向圓排列,用群的觀點說,這是在兩面體群作用下保持不變的圓排列。
求給定約束條件下所有不同圓排列的個數,稱為圓排列問題,其基本形式有兩種:
1.求從r種相異元中可重複地任取n個元所組成的圓排列數。
2.求從r種相異元中任取n個元,滿足下述條件的圓排列數:第i種元恰有b(i=1,2,…,r)個且
項鍊問題一般地可用反演公式或伯恩賽德引理來求解圓排列問題 。

