定義
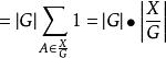
burnside引理設G={a1,a2,…ag}是目標集[1,n]上的置換群。每個置換都寫成不相交循環的乘積。 是在置換ak的作用下不動點的個數,也就是長度為1的循環的個數。通過上述置換的變換操作後可以相等的元素屬於同一個等價類。若G將[1,n]劃分成l個等價類,則:
burnside引理等價類個數為:
證明
burnside引理
burnside引理
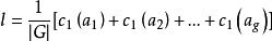
burnside引理證明1: ,記 表示g(x) = x否則 。考慮以下和式:
burnside引理對於上式最右邊我們有:
burnside引理所以:
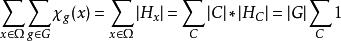
burnside引理證明2:這個證明方法使用了群作用(軌道-中心化子定理) 以及X是軌道的不交並的事實:
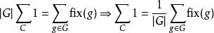
burnside引理
burnside引理
burnside引理更多證明方法和細節詳見《Burnside’s Theorem》
套用
例1:一正方形分成4格,2著色,有多少種方案?其中,經過轉動相同的圖象算同一方案。
burnside引理解:每個格子一共有兩種顏色可以選擇,所以共有右圖16中圖像。
對圖中圖像的置換可以分為以下四種:
不動:a1=(1)(2)…(16)
逆時針轉90度 :a2=(1)(2)(3 4 5 6)(7 8 9 10) (11 12)(13 14 15 16)
順時針轉90度 :a3=(1)(2)(6 5 4 3)(10 9 8 7)(11 12)(16 15 14 13)
轉180度:a4=(1)(2)(3 5)(4 6)(7 9)(8 10)(11)(12) (13 15)(14 16)
由Burnside引理,共有(16+2+2+4)/4=6(種方案)
由例子可見,Burnside引理是針對圖像集的轉動群來求解,當多種顏色(N>2)著色時,理論上可以用Burnside來求解,但是極其複雜,此時一般通過Pólya定理求解。
例2 :用六種顏色給立方體的六個面著色,每面顏色不同,並且當一個著色的立方體經轉動可得到另一個時,就認為二者相同。問有多少種著色方案?
burnside引理解:使用六種顏色對立方體的面染色,通過旋轉得到的情形視為同一種方案,最終染
色方式總數可以由這個公式確定。
分別選取面心-面心、立方體對角線、棱中-棱中3類共12條軸進行旋轉
| 旋轉情況 | 置換個數 | 不動點個數 |
| 不動 | 1×1 | 6! |
| 面心-面心旋轉±90° | 3×2 | 0 |
| 面心-面心旋轉180° | 3×1 | 0 |
| 棱中-棱中旋轉 | 6×1 | 0 |
| 立方體對角線旋轉±120° | 4×2 | 0 |
burnside引理
burnside引理從而有 30 種旋轉不同的立方體 六色染色方式。一般地,使用 n種顏色,應當使用Pólya定理求解,此時立方體不同的旋轉面染色數是:
burnside引理推廣
Burnside引理的權重形式
G是Sn的子群, 數k的權重由函式w給出,一個軌道中的所有數有相同的權重。設G導出的軌道是E1, E2, …, En,每個軌道的權重等於其中一個數的權重。若g∈G,令w'(g)為g所保持不動的所有數權重的和。則有:
burnside引理證明過程見《Short Proof of a General Weight Burnside Lemma》 ,
歷史
威廉·伯恩賽德在他1897年關於有限群的書中陳述並證明了這個引理,將其歸於弗羅貝尼烏斯。不過在弗羅貝尼烏斯以前,這個公式在1845年已經為柯西所知。事實上,這個引理明顯如此有名,伯恩賽德不過忽略了將其歸於柯西。因此,這個引理有時候也稱為不是伯恩賽德的引理。這可能看起來不那么有歧義,伯恩賽德對這個領域貢獻了許多引理。

