相關公式
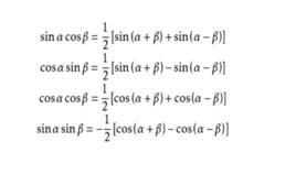
積化和差公式
積化和差
積化和差
積化和差
積化和差以上一組公式則稱為積化和差公式。
相關三角函式公式
積化和差
積化和差
積化和差
積化和差公式證明
方法1
通過展開角的和差恆等式的方法來證明,將等式右邊用兩角和差公式拆開。
積化和差(1)證明:
積化和差
積化和差
積化和差
積化和差(2)證明:
積化和差
積化和差
積化和差
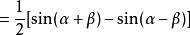
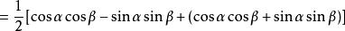
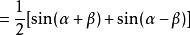
積化和差(3)證明:
積化和差
積化和差
積化和差
積化和差
積化和差(4)證明:
積化和差
積化和差
積化和差
積化和差方法2
利用公式
積化和差
積化和差兩式相加,得到:
積化和差
積化和差即:
積化和差兩式相減,得到:
即:
積化和差同理,可證其餘兩個積化和差公式。
記憶口訣
積化和差得和差,餘弦在後要相加;異名函式取正弦,正弦相乘取負號。
解釋:
(1)積化和差最後的結果是和或者差;
(2)若兩項相乘,後者為cos項,則積化和差的結果為兩項相加;若不是,則結果為兩項相減;
(3)若兩項相乘,一項為sin,另一項為cos,則積化和差的結果中都是sin項;
(4)若兩項相乘,兩項均為sin,則積化和差的結果前面取負號。
套用
(1)積化和差公式可以將兩個三角函式值的積化為另兩個三角函式值的和乘以常數的形式,所以使用積化和差公式可以達到降次的效果。
(2)在歷史上,對數出現之前,積化和差公式被用來將乘除運算化為加減運算,運算需要利用三角函式表。
積化和差運算過程:將兩個數通過乘、除10的冪方,化為0到1之間的數,通過查表求出對應的反三角函式值,即將原式 化為 的形式,套用積化和差後再次查表求三角函式的值,並最後利用加減算出結果。對數出現後,積化和差公式的這個作用由更加便捷的對數取代。
(3)在現代工程中,積化和差的重要套用在於求解傅立葉級數,特別是在需要將以2π為周期和以2L為周期的函式展開為傅立葉級數的時候。
積化和差
積化和差
積化和差
積化和差被展開函式 一般也是三角函式,但其 與傅立葉係數公式中的三角函式不同,這就為最終求解係數帶來很大困難,因為求解係數的過程中,要求一個在 周期內的積分,若被積函式是 ,直接積分非常困難,若運用積化和差將乘積的積分化為加減運算的積分,將使問題變得容易解決,使用計算機處理時效率也會更高。

