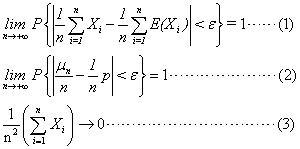
設有一隨機變數序列,假如它具有形如(1)的性質,則稱該隨機變數服從大數定律。(又譯為“貝努力大數定律”)
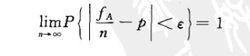
伯努利大數定律伯努利大數定律設fn為n重伯努利實驗中事件A發生的次數,p為A在每次實驗中發生的機率,則對任意給定的實數ε>0,有成立。即n趨向於無窮大時,事件A在n重伯努利事件中發生的頻率fn/n無限接近於事件A在一次實驗中發生的機率p。

伯努利大數定律設fn為n重伯努利實驗中事件A發生的次數,p為A在每次實驗中發生的機率,則對任意給定的實數ε>0,則成立。
設有一隨機變數序列,假如它具有形如(1)的性質,則稱該隨機變數服從大數定律。(又譯為“貝努力大數定律”)
伯努利大數定律伯努利大數定律設fn為n重伯努利實驗中事件A發生的次數,p為A在每次實驗中發生的機率,則對任意給定的實數ε>0,有成立。即n趨向於無窮大時,事件A在n重伯努利事件中發生的頻率fn/n無限接近於事件A在一次實驗中發生的機率p。
機率論歷史上第一個極限定理屬於伯努利,後人稱之為“大數定律”。機率論中討論隨機變數序列的算術平均值向隨機變數各數學期望的算術平均值收斂的定律。 在隨機事...
發展歷史 定理定義 舉例說明丹尼爾·伯努利在1726年提出了“伯努利原理”。這是在流體力學的連續介質理論方程建立之前,水力學所採用的基本原理,其實質是流體的機械能守恆。即:動能+重...
簡介 方程式 定理假設 推論過程 伯努利家族瑞士的伯努利家族(也譯作貝努力),一個家族3代人中產生了8位科學家,後裔有不少於120位被人們系統地追溯過,他們在數學、科學、技術、工程乃至法律、管理、...
家族簡介 雅各布 約翰 丹尼爾 伯努利數雅各布·伯努利(Jakob Bernoulli,1654-1705),伯努利家族代表人物之一,瑞士數學家。被公認的機率論的先驅之一。他是最早使用“積分...
人物簡介 人物生平 數學家族 主要成就大數法則,又稱大數定律(law of large numbers),機率論歷史上第一個極限定理,是一種描述當試驗次數很大時所呈現的機率性質的定律,由數學...
定義 發展歷史 舉例說明 數學家 常見類型雅各布·伯努利(Jakob Bernoulli,1654-1705),伯努利家族代表人物之一,瑞士數學家。被公認的機率論的先驅之一。他是最早使用“積分...
人物簡介 人物生平 數學家族 主要成就辛欽大數定律是一個數學定律,是常用的大數定律之一。
瑞士的伯努利家族(也譯作貝努力),一個家族3代人中產生了8位科學家,後裔有不少於120位被人們系統地追溯過,他們在數學、科學、技術、工程乃至法律、管理、...
家族簡介 雅各布 約翰 丹尼爾 伯努利數大數律是機率論中討論隨機變數序列的算術平均值向常數收斂的定律。是機率論與數理統計學的基本定律之一。
大數律 正文 配圖 相關連線