簡介
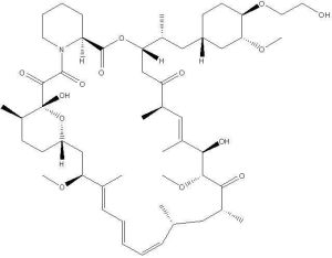
伊維莫司分子式伊維莫司(英文名稱:everolimus,別名:依維菌素),是西羅莫司(sirolimus,又稱雷帕黴素,即rapamycin)的衍生物,故依維莫司又稱40-O-(2-羥乙基)-雷帕黴素,或40-O-(2-羥乙基)-西羅莫司。
在癌症細胞中,依維莫司阻斷mTOR,mTOR是一種蛋白作用於腫瘤細胞分裂、細胞新陳代謝以及血管生長的中心調控器。依維莫司每天口服一次能提供持續性地對mTOR的阻斷。
臨床套用
依維莫司臨床上主要用來預防腎移植和心臟移植手術後的排斥反應。其作用機制主要包括免疫抑制作用、抗腫瘤作用、抗病毒作用、血管保護作用。常與環孢素等其他免疫抑制劑聯合使用以降低毒性。與西羅莫司相比,依維莫司的藥物代謝動力學更加優越。
此外,除了腎細胞癌,依維莫司也正在進行對神經內分泌腫瘤、淋巴瘤、其他癌症以及結節性硬化症的研究,可作為單一製劑或者與現有的癌症治療方法合用。
作為研究藥物,依維莫司的安全性和有效性還沒有在腫瘤領域完全建立起來,現在正處於嚴格控制和監測進行的臨床試驗階段。這些試驗的設計是為了更好地理解該化合物的潛在效益以及相應的風險。由於臨床試驗的不確定性,現在還不能確保依維莫司可以作為腫瘤適應症的藥品在全球範圍商業出售。
依維莫司目前(2010年)被批准的商品名Certican.用於預防心臟和腎移植患者的器官排異。Certican在2003年在歐洲首次獲得批准,目前(2010年)在超過60個國家有售。

