物質內容
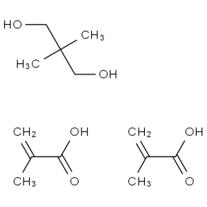
中文名稱: 二甲基丙烯酸新戊二醇酯
英文名稱: Neopentylglycoldimethacrylate
別名: 新戊二醇二異丁烯酸酯(含穩定劑甲氧基氫醌)
二甲基丙烯酸新戊二醇酯 CAS: 1985-51-9
MDL: MFCD00048120
分子式: [H2C=C(CH3)CO2CH2]2C(CH3)2
分子量: 240.30
SMILES: CC(=C)C(=O)O.CC(=C)C(=O)O.OCC(CO)(C)C
EINECS: 217-856-8
屬性
折光率:1.453沸點:87°C/0.6mmHg
密度:1.003g/mLat25°C
危險屬性
Risk:R43-Safty:S36/37-
Hazard:Xi-
