假設檢驗簡介
假設檢驗是數理統計學中根據一定假設條件由樣本推斷總體的一種方法。具體作法是:根據問題的需要對所研究的總體作某種假設,記作H0;選取合適的統計量,這個統計量的選取要使得在假設H0成立時,其分布為已知;由實測的樣本,計算出統計量的值,並根據預先給定的顯著性水平進行檢驗,作出拒絕或接受假設H0的判斷。常用的假設檢驗方法有u—檢驗法、t檢驗法、χ2檢驗法(卡方檢驗)、F—檢驗法,秩和檢驗等。
假設檢驗的基本思想是小機率反證法思想。小機率思想是指小機率事件(P<0.01或P<0.05)在一次試驗中基本上不會發生。反證法思想是先提出假設(檢驗假設H0),再用適當的統計方法確定假設成立的可能性大小,如可能性小,則認為假設不成立,若可能性大,則還不能認為不假設成立。
假設檢驗步驟:
1、提出檢驗假設又稱無效假設,符號是H0;備擇假設的符號是H1。
H0:樣本與總體或樣本與樣本間的差異是由抽樣誤差引起的;
H1:樣本與總體或樣本與樣本間存在本質差異;
預先設定的檢驗水準為0.05;當檢驗假設為真,但被錯誤地拒絕的機率,記作α,通常取α=0.05或α=0.01。
2、選定統計方法,由樣本觀察值按相應的公式計算出統計量的大小,如X2值、t值等。根據資料的類型和特點,可分別選用Z檢驗,T檢驗,秩和檢驗和卡方檢驗等。
3、根據統計量的大小及其分布確定檢驗假設成立的可能性P的大小並判斷結果。若P>α,結論為按α所取水準不顯著,不拒絕H0,即認為差別很可能是由於抽樣誤差造成的,在統計上不成立;如果P≤α,結論為按所取α水準顯著,拒絕H0,接受H1,則認為此差別不大可能僅由抽樣誤差所致,很可能是實驗因素不同造成的,故在統計上成立。P值的大小一般可通過查閱相應的界值表得到。
二元檢測
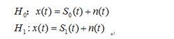
圖1二元檢測是一種簡單假設檢驗,源輸出為兩種可能的假設之一,H和H,並稱H為零假設,H為備選假設,例如,在二元數字通信中,H和H可分別對應於傳送的空號S(t)和傳號S(t),可記為如圖1。
n(t)為噪聲,觀察區間為0≤t≤T。
圖2二元檢測就是要根據選定的最佳準則來判決傳送的是空號還是傳號。又如在雷達目標檢測中,H和H可分別表示目標不存在和存在,需根據最佳準則來作出判決。簡單二元檢測的判決準則通常用貝葉斯準則(最小風險準則)。有時也用以最大似然比為基礎的最大後驗機率準則。假定傳送的有用信號樣本S是個隨機變數,接收到的樣本是有用信號和噪聲之和:x=s+n也是隨機變數。事先知道的S的機率密度函式p(s)稱為先驗機率密度。當接收到X後知道的關於S的機率密度函式p(s/x)稱為後驗機率密度。理想接收機就是一種能在輸出端計算並給出p(s/x)的接收機。最大後驗機率密度就作為理想接收機的判決準則。本例的兩個後驗機率是p(H|x)和p(H|x),它們分別表示給定樣本x後H和H為真的機率。最大後驗機率準則的判決規則是:若p(H|x)/p(H|x)≥1,則判定H為真,否則判定H為真。後驗機率可通過先驗機率和似然函式表示為如圖2。
其中p(H)和p(H)分別為假設H和H為真的先驗機率;P(x|H)和p(x|H)分別為假設H和H為真情況下X的機率密度函式,稱為似然函式,最大後驗機率準則的判決規則可表示為如圖3。
圖3比值λ(x)稱為似然比,以這一比值與門限λ相比較而作出判決的檢驗稱為似然比檢驗。
