檢測理論
正文
套用統計推斷理論研究從有噪聲的信號中提取信息的最佳方式和檢測系統的最佳設計,為資訊理論的一個分支。檢測就是從有限個可能出現的信號集合中作出選擇,從而在有噪聲的信號中提取信息的過程。檢測理論是統計信號處理的理論基礎之一。除了廣泛套用於雷達、聲納、通信、自動控制等技術外,在地震學、射電天文學、地球物理、生物醫學、生物物理學等學科領域裡,也有廣泛的套用。
經典檢測 又稱假設檢驗,它包括三個基本組成部分。首先是產生各種假設的源。假設可以看成是關於可能判決的陳述。產生這些陳述的機構稱為源。其次是機率轉移機構,對應於每一種假設,它按照某種機率規律產生賴以作出判斷的觀察量,即觀察空間中的一點。最後根據某種意義下的最佳判決準則,把觀察空間劃分為對應於各種假設的區域,亦即產生出最佳判決的系統。
判決的依據是觀察量的統計特性。對應於每一種假設,似然函式定義為各種條件機率密度函式 Pi(r│Hi)(i=0,1,…,M-1);r為觀測矢量(r1,r2,…,rn)。在參量檢測中,關於噪聲以及信號與噪聲之和的機率密度函式是已知的,或者除去確定它們的有限個參量以外是已知的。前者對應於簡單假設檢驗,後者對應於複合假設檢驗。如果噪聲分布的真正形式未知,則有限數目的參量不足以確定它們,這時的檢測稱為非參量檢測。信號檢測可以分為三種不同水平的問題。①確知信號的檢測,如同步數字通信。②含未知參量的信號檢測,如雷達、聲納目標檢測,非相干數字通信系統,慢衰落信道數字通信。③隨機信號的檢測,如被動聲納、地震檢測和射電天文檢測。
二元檢測 源輸出為兩種可能的假設之一,分別表示為H0和H1),並稱H0為“零”假設。例如,雷達目標檢測中,H0假設和H1假設分別表示目標的不存在和存在,記為
H0:r(t)=n(t)
H1:r(t)=s(t)+n(t) (0≤t≤T)
式中r(t)為接收信號;s(t)為預期目標回波信號;n(t)為干擾噪聲。時區【0,T】為觀察區間。另一個普通的例子為二元通信問題。這時H0和H1可分別對應於傳送的空號s0(t)和傳號s1(t)。H0:r(t)=s0(t)+n(t),H1:r(t)=s1(t)+n(t),0≤t≤T。信號檢測的目的就是要根據r(t)在某種最佳意義下,判決目標的存在或不存在,判決傳送的是空號還是傳號。M元檢測 源輸出為M個可能的假設H0,H1,…,
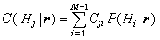
之一。典型例子為雷達的多目標檢測和M元通信問題。信號參量估計問題也可近似地當作M元檢測問題來處理。 最佳準則 理論上的最佳準則為貝葉斯準則──使全部判決的平均風險為最小的準則。假定M個可能發生的訊息的先驗機率已知並為P(Hj)(j=0,1,…,M-1)。如果實際存在的是訊息j而被判定為訊息i,定義其判決代價為Cij。假定Cij(i,j=0,1,…,M-1)已經確定。貝葉斯準則是對於任何一組觀測數據,選擇假設Hj,它產生的平均風險最小。平均風險的定義為


如果給定各代價函式,而先驗機率未知,一個可能的合理的策略是假定最不利的先驗分布,然後再採用貝葉斯準則,這就是極小化極大準則。
通信系統常用最小錯誤機率準則,即最大後驗機率準則,又稱“理想觀察者”準則。假定正確判決不付出代價,各類錯誤判決的代價相等,此時使平均錯誤機率最小就相當於使貝葉斯風險最小。
雷達和聲納目標檢測中,先驗機率和各種代價函式均不容易確定。這時可以採用奈曼-皮爾遜準則。這一準則的判決門限λ可由虛警(即誤判目標存在)機率α確定如下:


由於似然比既不取決於各先驗分布,而且它與各判決代價無關,在上述幾種準則下,最佳檢測系統仍然是似然比系統,只是各判決門限由相應準則來決定。
匹配濾波器 假定所接收的有噪聲信號為si(t)+n(t),其中n(t)為高斯白噪聲,si(t)為相應於訊息i的確知信號,這時計算似然比的裝置實質上是一個線性濾波器,其傳輸函式H(ω)與信號的頻譜函式S(ω)有下述關係

匹配濾波器有下述性質:①在所有線性濾波器中,匹配濾波器在輸出端給出最大瞬時信噪比。②在白噪聲下,匹配濾波器的輸出瞬時信噪比只與輸入信號能量和白噪聲功率譜密度有關。③與信號s(t)匹配的匹配濾波器對於信號as(t-τ)(ɑ為常數;τ為時延)來說也是匹配的。即匹配濾波器對於波形相似而振幅和時延參量不同的信號具有適應性,但一般對頻移信號是不適應的。④在高斯白噪聲情況下,匹配濾波器等效於一個互相關器。
參考書目
H. L. Van Trees, Detection,Estimation,and Modulation Theory,Part I,Wiley,New York,1968.

