來歷
刻有乾支的殷朝牛骨古書相傳,黃帝時代有位大臣,名叫大撓,此人“深五行之情占年綱所建,於是始作甲乙以名日謂之乾;作子醜以名月謂之支,乾支相配,以成六旬”,意思是說乾支是由大撓最先創作的。實際上,這只是傳說。從古代的史實看來,乾支和乾支紀法的產生也如同“火”的發現一樣,是廣大勞動者在生產和生活的長期實踐中形成並逐步發展起來的,它的產生並不能歸功於某一個人,也不能劃清於某個時代。從殷墟甲骨片中文字已有乾支象形(如右圖),殷代帝王也多用天干的名字,作為他的代號,所以殷朝已有乾支毫無疑義。
乾支紀日從商朝便已開始,但其順序到春秋時代有無間斷或錯亂過,尚待考證。截止2013年6月已確切知道:從春秋魯隱公三年(公元前720年)二月己巳日起到清宣統三年(公元1911年)止,2600多年中從未間斷和錯亂過。1912年民國元年採用公元紀年後,漢族民間仍沿用乾支紀日法,百年來也未錯亂。乾支紀日法是商朝曆法的最大成就,這是現今已知世界最長的紀日法,對於我國歷史學,尤其是科學技術發展史的考證和研究,都是極為重要的記時標誌,是中國一份珍貴的科學文化遺產。
如《餚之戰》:“夏四月辛巳,敗秦軍於餚。’“四月辛巳”指農曆四月十三日;《石鐘山記》“元豐七年六月丁丑”,即農曆六月九日;《登泰山記》“是月丁未”,指這個月的二十八日。古人還單用天干或地支來表示特定的日子。如《禮記·檀弓》“子卯不樂”,“子卯”,代指惡日或忌日。
日柱公式
由於公曆與乾支紀法的體系和周期完全不同,因此它們之間的換算問題比較複雜。尤其是求解公曆任一日的日乾支是十分困難的,目前主要依靠查詢萬年曆解決。作者經過潛心研究,探究推導出──計算公曆任一日乾支的曆法公式,簡稱《高氏日柱公式》。此公式採用插入世紀常數和月基數的方法,簡捷準確而又科學實用,徹底解決了由來已久的曆法換算難題。在“不查萬年曆,日柱早知道”的具體問題上具有極大的實踐意義。
1.高氏日柱公式
乾支紀日各符號意義
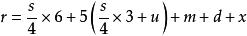
r:日柱的母數,r除以60的 餘數即是日柱的乾支序列數;
乾支紀日s:公元年數後兩位數減1, 取 整數值商;u:s除以4的 餘數;
m:月基數 d:日期數 x:世紀常數
注意: 閏年2月之後,求出的r需要 再加1。
2 世紀常數
現將17世紀至26世紀一千年間的世紀常數x,對應列表如下:
| 世紀數N | 17 | 18 | 19 | 20 | 21 |
| 年限 | 1601-1700 | 1701-1800 | 1801-1900 | 1901-2000 | 2001-2100 |
| 世紀常數x | 3 | 47 | 31 | 15 | 0 |
| 世紀數N | 22 | 23 | 24 | 25 | 26 |
| 年限 | 2101-2200 | 2201-2300 | 2301-2400 | 2401-2500 | 2501-2600 |
| 世紀常數x | 44 | 28 | 12 | 57 | 41 |
1.3 月基數
月基數m,即為前幾個月的日數總和除以60的餘數。
詳見下表:
| 月份 | 1 | 2 | 3 | 4 | 5 | 6 | 7 | 8 | 9 | 10 | 11 | 12 |
| 月基數 | 0 | 31 | -1 | 30 | 0 | 31 | 1 | 32 | 3 | 33 | 4 | 34 |
套用舉例
編輯
例1:計算1949年10月1日即建國當日的日柱,則有s=49-1=48;u=0;m=33;d=1;x=15,將各項數據代入高氏日柱公式可得:
r=12*6+5*(12*3+0)+33+1+15=301
故301除以60的餘數為1,即當日的日柱為甲子。
例2:計算2008年5月12日即汶川地震當日的日柱,則有s=8-1=7;u=3;m=0;d=12;x=0,由於2008年為閏年,則2月之後的計算結果需要再加1。將各項數據代入高氏日柱公式可得:
r=1*6+5*(1*3+3)+0+12+0+1=49
故49除以60的餘數為49,即當日的日柱為壬子。
例3:計算1895年4月17日即馬關條約簽訂當日的日柱,則有s=95-1=94;u=2;m=30;d=17;x=31,將各項數據代入高氏日柱公式可得:
r=23*6+5*(23*3+2)+30+17+31=571
故571除以60的餘數為31,即當日的日柱為甲午。
結論與擴展
高氏日柱公式的成功之處在於:以世紀為運算區間,並引入了世紀常數這一重要的概念。使得日柱的求解在兩位數以內進行,極大地簡化了求解日柱的過程,實現了編寫計算代碼的可行性,且能夠運用於心算。是日柱求解方法的一大創舉和進步。月基數的引入也在很大程度上簡化了求解日柱的過程。經過進一步研究,作者發現世紀常數和世紀數之間也存在著對應關係,其關係公式(高氏日柱公式的輔助公式)如下:
乾支紀日
乾支紀日C為世紀數,X為世紀常數的母數。取整數值,X除以60的餘數即為世紀常數x。
日乾支推算表
日乾支推算表,又名日柱推算表。主要用於推算日乾支。一張表,能推算出表上各年的每一天的乾支,十分快捷,袖珍便攜,是真正的一紙萬年曆。山東任紅岩原創,推薦給廣大命理師,從此日柱瞬間可知。一紙萬年曆,日柱瞬間覓。
年數表(1950年—1999年)
| 19年 | 數 | 19年 | 數 | 19年 | 數 | 19年 | 數 | 19年 | 數 |
| 50 | 31 | 60 | 24 | 70 | 16 | 80 | 9 | 90 | 1 |
| 51 | 36 | 61 | 29 | 71 | 21 | 81 | 14 | 91 | 6 |
| 52 | 42 | 62 | 34 | 72 | 27 | 82 | 19 | 92 | 12 |
| 53 | 47 | 63 | 39 | 73 | 32 | 83 | 24 | 93 | 17 |
| 54 | 52 | 64 | 45 | 74 | 37 | 84 | 30 | 94 | 22 |
| 55 | 57 | 65 | 50 | 75 | 42 | 85 | 35 | 95 | 27 |
| 56 | 3 | 66 | 55 | 76 | 48 | 86 | 40 | 96 | 33 |
| 57 | 8 | 67 | 0 | 77 | 53 | 87 | 45 | 97 | 38 |
| 58 | 13 | 68 | 6 | 78 | 58 | 88 | 51 | 98 | 43 |
| 59 | 18 | 69 | 11 | 79 | 3 | 89 | 56 | 99 | 48 |
年數表(2000年-2049年)
| 20年 | 數 | 20年 | 數 | 20年 | 數 | 20年 | 數 | 20年 | 數 |
| 00 | 54 | 10 | 46 | 20 | 39 | 30 | 31 | 40 | 24 |
| 01 | 59 | 11 | 51 | 21 | 44 | 31 | 36 | 41 | 29 |
| 02 | 4 | 12 | 57 | 22 | 49 | 32 | 42 | 42 | 34 |
| 03 | 9 | 13 | 2 | 23 | 54 | 33 | 47 | 43 | 39 |
| 04 | 15 | 14 | 7 | 24 | 0 | 34 | 52 | 44 | 45 |
| 05 | 20 | 15 | 12 | 25 | 5 | 35 | 57 | 45 | 50 |
| 06 | 25 | 16 | 18 | 26 | 10 | 36 | 3 | 46 | 55 |
| 07 | 30 | 17 | 23 | 27 | 15 | 37 | 8 | 47 | 0 |
| 08 | 36 | 18 | 28 | 28 | 21 | 38 | 13 | 48 | 6 |
| 09 | 41 | 19 | 33 | 29 | 26 | 39 | 18 | 49 | 11 |
月數表(月數表萬年通用,最好背熟)
| 月份 | 月數 | 月份 | 月數 |
| 3月 | 0 | 4月 | 31 |
| 5月 | 1 | 6月 | 32 |
| 7月 | 2 | 8月 | 33 |
| 9月 | 4 | 10月 | 34 |
| 11月 | 5 | 12月 | 35 |
| 下年1月 | 6 | 下年2月 | 37 |
日柱公式:日乾支序數=年數+月數+日期(和大於60,則減60。1月、2月用上一年的年數)
注意:1月和2月的各天要用上一年的年數,即未到3月用上一年數。例如求2015年2月28日乾支,未到3月,要用2014年數=7,不可用2015年數。年數適用範圍:此年3月-下年2月。
命理師最好將月數表完全背熟,對於盲派命理師,則最好將百年的年數表也背熟,乾支表序數也應背熟。
例:求1987年7月18日,1997年1月15日,2008年8月8日,2015年11月21日,2016年10月1日乾支?
解:查表得知
1987年7月18日=1987年數+7月數+18日=45+2+18=65-60=5=戊辰
1997年1月15日=1996年數+1月數+15日=33+6+15=54=丁巳 (1月、2月用上一年數)
2008年8月8日=2008年數+8月數+8日=36+33+8=77-60=17=庚辰
2015年11月21日=2015年數+11月數+21日=12+5+21=38=辛丑
2016年2月14日=2015年數+2月數+14日=12+37+14=63-60=3=丙寅 (1月、2月用上一年數)

