簡介
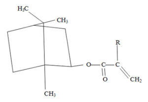
丙烯酸異冰片酯,使用IBOA作為環氧丙烯酸齊聚物的活性稀釋劑,可以明顯降低塗層的內應力,減少塗層的體積收縮率,從而顯著改善輻射固化塗層的附著力、收縮率、抗衝擊性、耐擦傷和耐候性等特性指標,同時又不降低其硬度和柔韌性。IBOA若用於光碟的保護塗層上,其對細紋表面有著極好的附著力和耐擦傷性,且有極佳的塗飾性能並使塗膜光澤明顯改善。
套用範圍
丙烯酸異冰片酯(2)參與合成高質量的丙烯酸樹脂、聚酯樹脂、聚氨酯樹脂、低聚物、醇酸樹脂等。
(3)用於製造各種樹脂、塗料、粉末塗料、油墨、粘合劑等,並在塗裝、印刷、高級轎車、機車、計算機、手機、家電、儀器儀表、光碟、光纖、家具、地板、玻璃飾品、金屬罩光、工程塑膠、柔性塑膜、塑膠薄膜、噴墨、壓敏膠、密封膠等方面得到廣泛套用。
主要用途
因此IBOA作為輻射固化塗層的活性稀釋劑已被廣泛套用於金屬罩光,玻璃柔性塑膜,工程塑膠以及光纖塗料等領域,同時在一些特殊印刷油墨如戶外噴墨、聚乙烯薄膜等材料上的印刷用墨中使用。IBOA適用於製造高Tg的熱塑性丙烯酸樹脂,其產品具有高硬度、高耐醇性和耐熱性。並具有良好的柔韌性。附著力和耐濕性、耐候性,是一種結構極具特點的新型丙烯酸酯聚合單體,適用於製造諸如PET、PE、PP等軟塑膠薄膜塗層以及PE、PP、PC等工程塑膠件的裝飾性保護塗層。
包裝貯運
1、IBOMA和IBOA各有二種包裝,25kg塑膠桶和200kg塑膠桶。
2、IBOMA和IBOA不屬於易燃化學物品,但貯運時仍應存放在通風良好的倉庫內,避免陽光直射,並與熱源隔離,防止高溫自聚變質。
安全衛生
該產品為無色透明液體,不溶於水,常溫下蒸汽壓極低,氣味溫和,低毒,不易燃。長期暴露對眼睛、皮膚略有刺激,應穿戴勞保用品,避免直接接觸。如沾到皮膚上可用肥皂水清洗。
口服毒性:CD50鼠2300-4000mg/kg
接觸皮膚:CD50兔5000mg/kg

